🇳🇴 🇬🇧 🇩🇪 🇨🇿 🇫🇮

Meteor Setermoenin yllä 2020-11-30 01:25:23 UTC

KML-tiedosto  |  Interaktiivinen kartta

Kartta näyttää meteorin suuntahavainnot. Vaaleammat viivat näyttävät suunnat havaintoasemilta meteorin ilmestyessä, ja tummemmat viivat näyttävät, missä se viimeksi nähtiin. Sininen nuoli näyttää meteorin näkyvän lennon.

static map
height profile
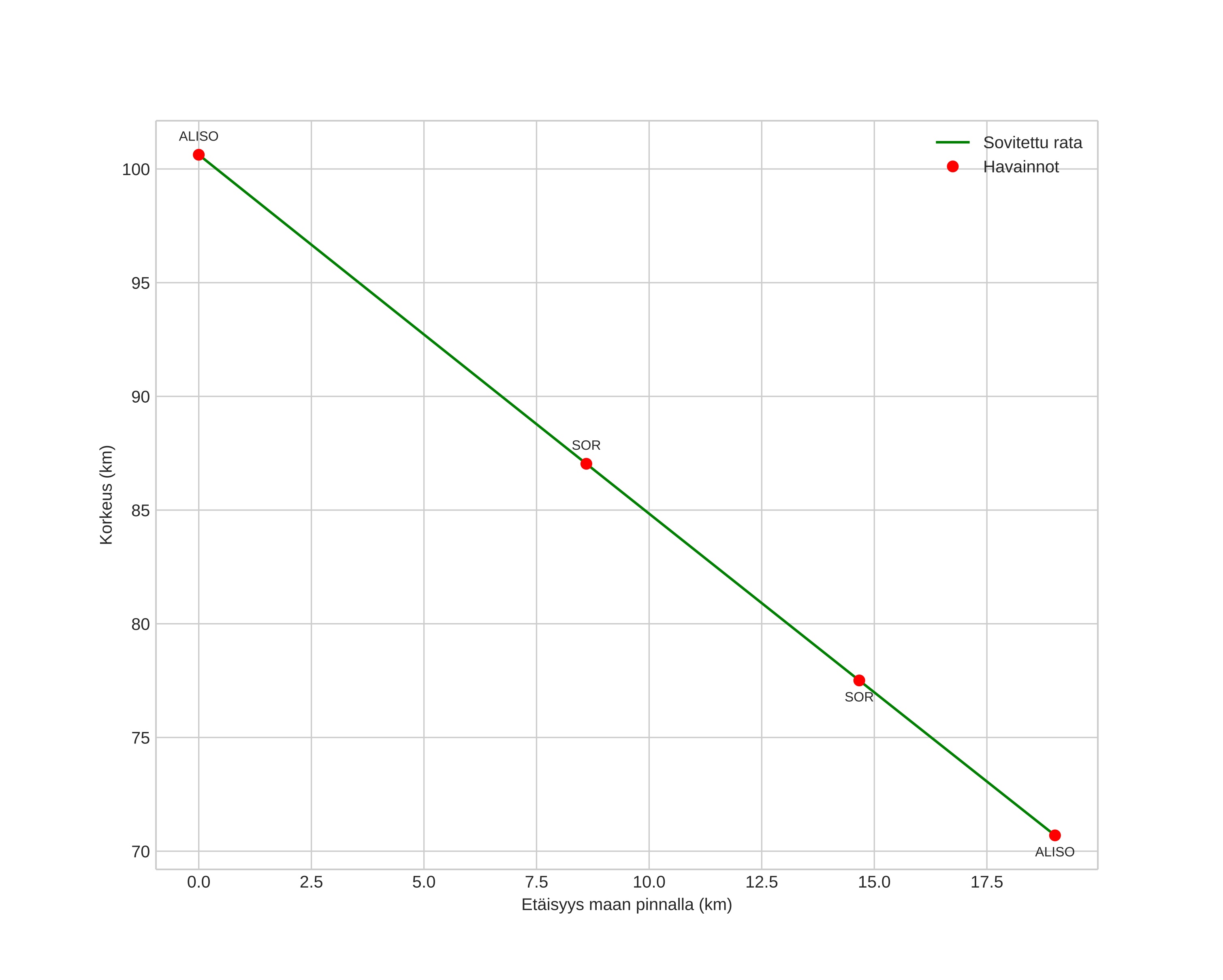
Meteorin ilmakehärata:
Alkukorkeus: 100,4 km
Loppukorkeus: 70,4 km
Alkupiste: 67,964N 18,758E
Loppupiste: 67,894N 18,349E
Suunta: 245,7°
Kallistuskulma: 58,0°
Tulonopeus: 44,3 km/s
Radiantin R,A,: 12:24 (186,2°)
Radiantin Dekl,: 60,1°
Meteoriparvi: Sporadinen
Meteoroidin rataelementit:
Perihelietäisyys: 0,964 AU
Eksentrisyys: 0,426
Inklinaatio: 80,6°
Nousevan solmun pituus: 248,0°
Perihelin argumentti: 202,1°
Keskianomalia: 351,8°
Epookki: 2020 NOV 30 01:25:23
orbit plot

Ei-interaktiivinen kuvaaja | Interaktiivinen kuvaaja

position vs time
speed and acceleration