🇳🇴 🇬🇧 🇩🇪 🇨🇿 🇫🇮

Meteor, poloha: Rødberg 2020-12-01 06:52:27 UTC

Soubor KML  |  InteraktivnĂ­ mapa

Mapa zobrazuje dráhy meteoru. Světlejší čáry ukazují směry od pozorovacích stanic při objevení se meteoru a tmavší čáry, kde byl naposledy viděn. Modrá šipka značí viditelnou dráhu meteoru.

static map
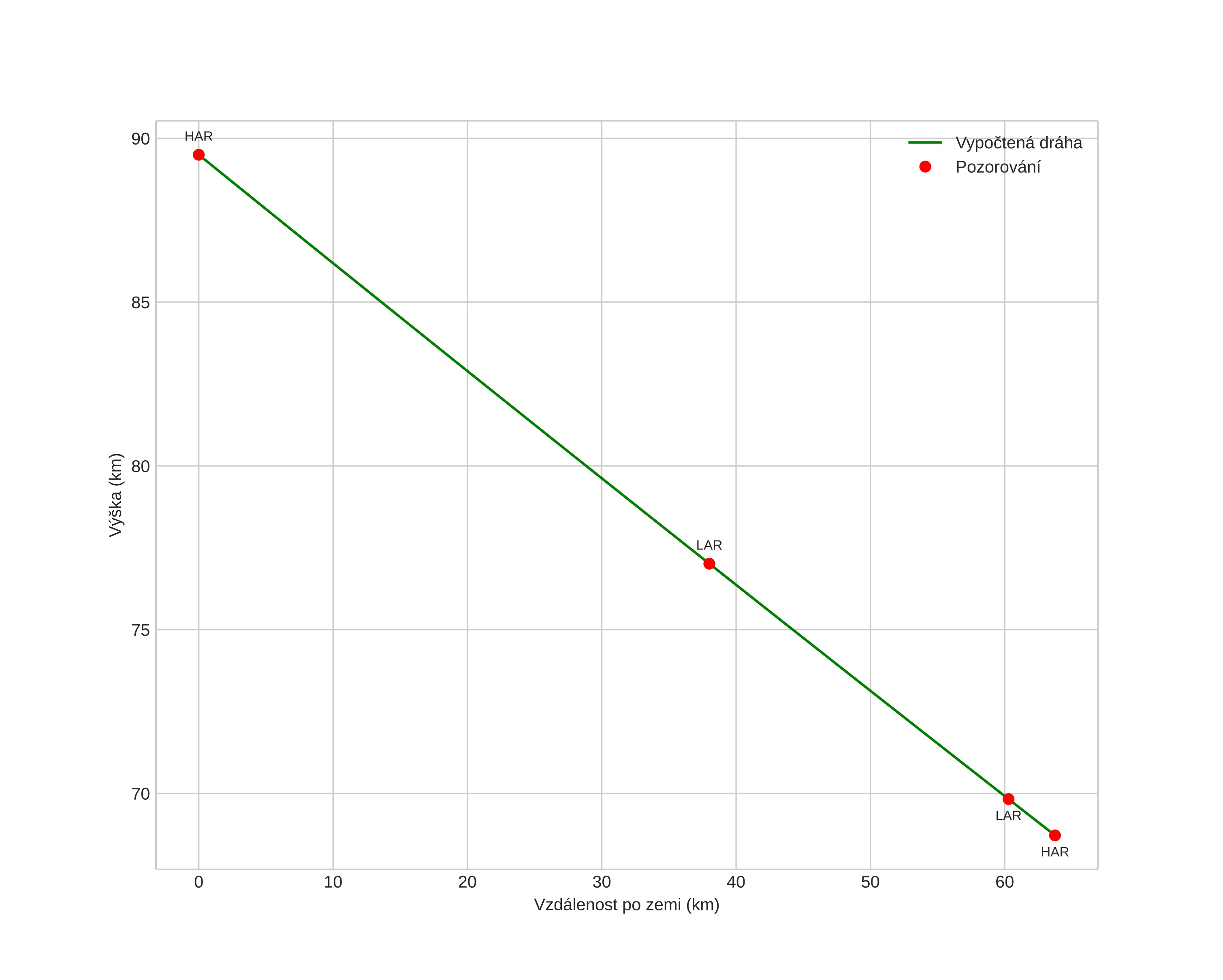
height profile
Atmosférická dráha meteoru:
Počáteční výška: 87,2 km
Konečná výška: 69,0 km
Počáteční poloha: 60,706N 7,891E
Konečná poloha: 60,479N 8,791E
Směr: 116,8°
Sklon: 18,2°
VstupnĂ­ rychlost: 29,1 km/s
Rektascenze radiantu: 05:00 (75,1°)
Deklinace radiantu: 25,8°
MeteorickĂ˝ roj: SevernĂ­ Tauridy
Elementy dráhy meteoroidu:
Vzdálenost v periheliu: 0,429 AU
Excentricita: 0,833
Sklon dráhy: 3,1°
Délka vzestupného uzlu: 249,2°
Argument perihelia: 284,1°
Střední anomálie: 349,8°
Epocha: 2020 DEC 01 06:52:27
orbit plot

NeinteraktivnĂ­ graf | InteraktivnĂ­ graf

position vs time
speed and acceleration