🇳🇴 🇬🇧 🇩🇪 🇨🇿 🇫🇮

Meteor Rødbergin yllä 2020-12-01 06:52:27 UTC

KML-tiedosto  |  Interaktiivinen kartta

Kartta näyttää meteorin suuntahavainnot. Vaaleammat viivat näyttävät suunnat havaintoasemilta meteorin ilmestyessä, ja tummemmat viivat näyttävät, missä se viimeksi nähtiin. Sininen nuoli näyttää meteorin näkyvän lennon.

static map
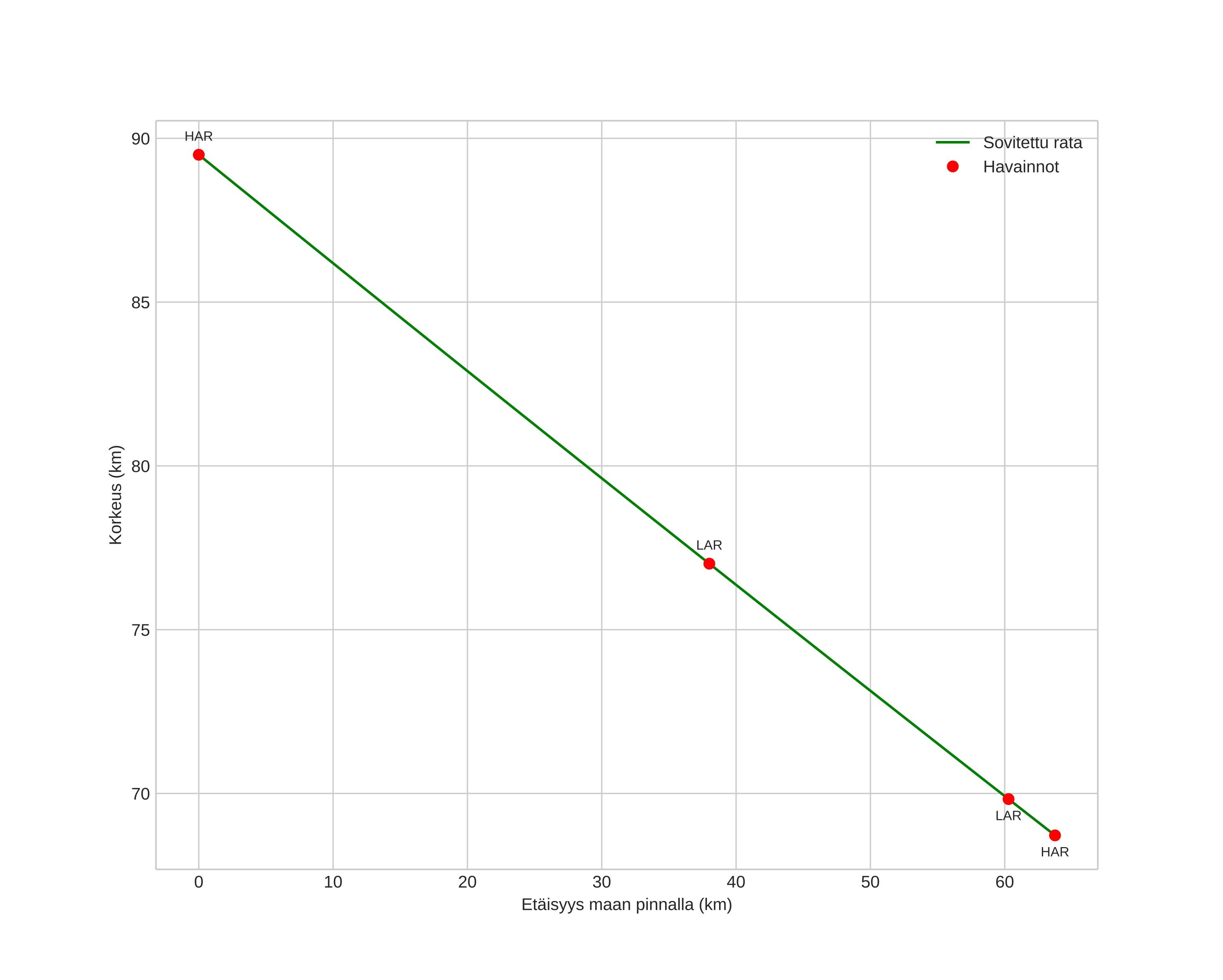
height profile
Meteorin ilmakehärata:
Alkukorkeus: 87,2 km
Loppukorkeus: 69,0 km
Alkupiste: 60,706N 7,891E
Loppupiste: 60,479N 8,791E
Suunta: 116,8°
Kallistuskulma: 18,2°
Tulonopeus: 29,1 km/s
Radiantin R,A,: 05:00 (75,1°)
Radiantin Dekl,: 25,8°
Meteoriparvi: Pohjoiset tauridit
Meteoroidin rataelementit:
Perihelietäisyys: 0,429 AU
Eksentrisyys: 0,833
Inklinaatio: 3,1°
Nousevan solmun pituus: 249,2°
Perihelin argumentti: 284,1°
Keskianomalia: 349,8°
Epookki: 2020 DEC 01 06:52:27
orbit plot

Ei-interaktiivinen kuvaaja | Interaktiivinen kuvaaja

position vs time
speed and acceleration