🇳🇴 🇬🇧 🇩🇪 🇨🇿 🇫🇮

Meteor, poloha: Tromsø 2020-12-05 22:21:50 UTC

Soubor KML  |  InteraktivnĂ­ mapa

Mapa zobrazuje dráhy meteoru. Světlejší čáry ukazují směry od pozorovacích stanic při objevení se meteoru a tmavší čáry, kde byl naposledy viděn. Modrá šipka značí viditelnou dráhu meteoru.

static map
height profile
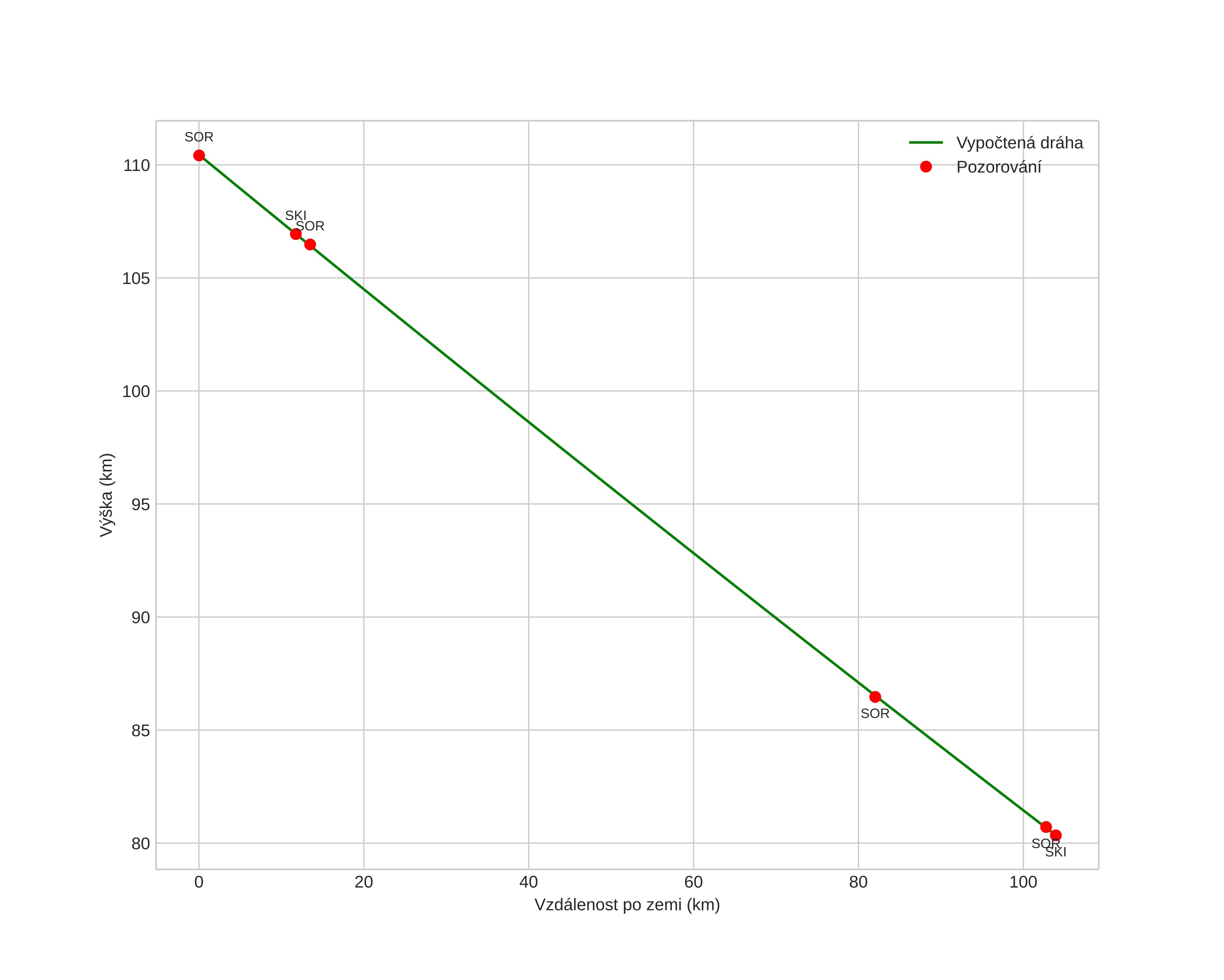
Atmosférická dráha meteoru:
Počáteční výška: 106,9 km
Konečná výška: 79,3 km
Počáteční poloha: 70,045N 20,878E
Konečná poloha: 70,542N 18,781E
Směr: 306,1°
Sklon: 16,0°
VstupnĂ­ rychlost: 60,2 km/s
Rektascenze radiantu: 08:09 (122,4°)
Deklinace radiantu: 3,1°
MeteorickĂ˝ roj: Sigma Hydridy
Elementy dráhy meteoroidu:
Vzdálenost v periheliu: 0,249 AU
Excentricita: 1,000
Sklon dráhy: 127,9°
Délka vzestupného uzlu: 74,0°
Argument perihelia: 119,6°
Střední anomálie: 360,0°
Epocha: 2020 DEC 05 22:21:50
orbit plot

NeinteraktivnĂ­ graf | InteraktivnĂ­ graf

position vs time
speed and acceleration