🇳🇴 🇬🇧 🇩🇪 🇨🇿 🇫🇮

Meteor Tromsøin yllä 2020-12-05 22:21:50 UTC

KML-tiedosto  |  Interaktiivinen kartta

Kartta näyttää meteorin suuntahavainnot. Vaaleammat viivat näyttävät suunnat havaintoasemilta meteorin ilmestyessä, ja tummemmat viivat näyttävät, missä se viimeksi nähtiin. Sininen nuoli näyttää meteorin näkyvän lennon.

static map
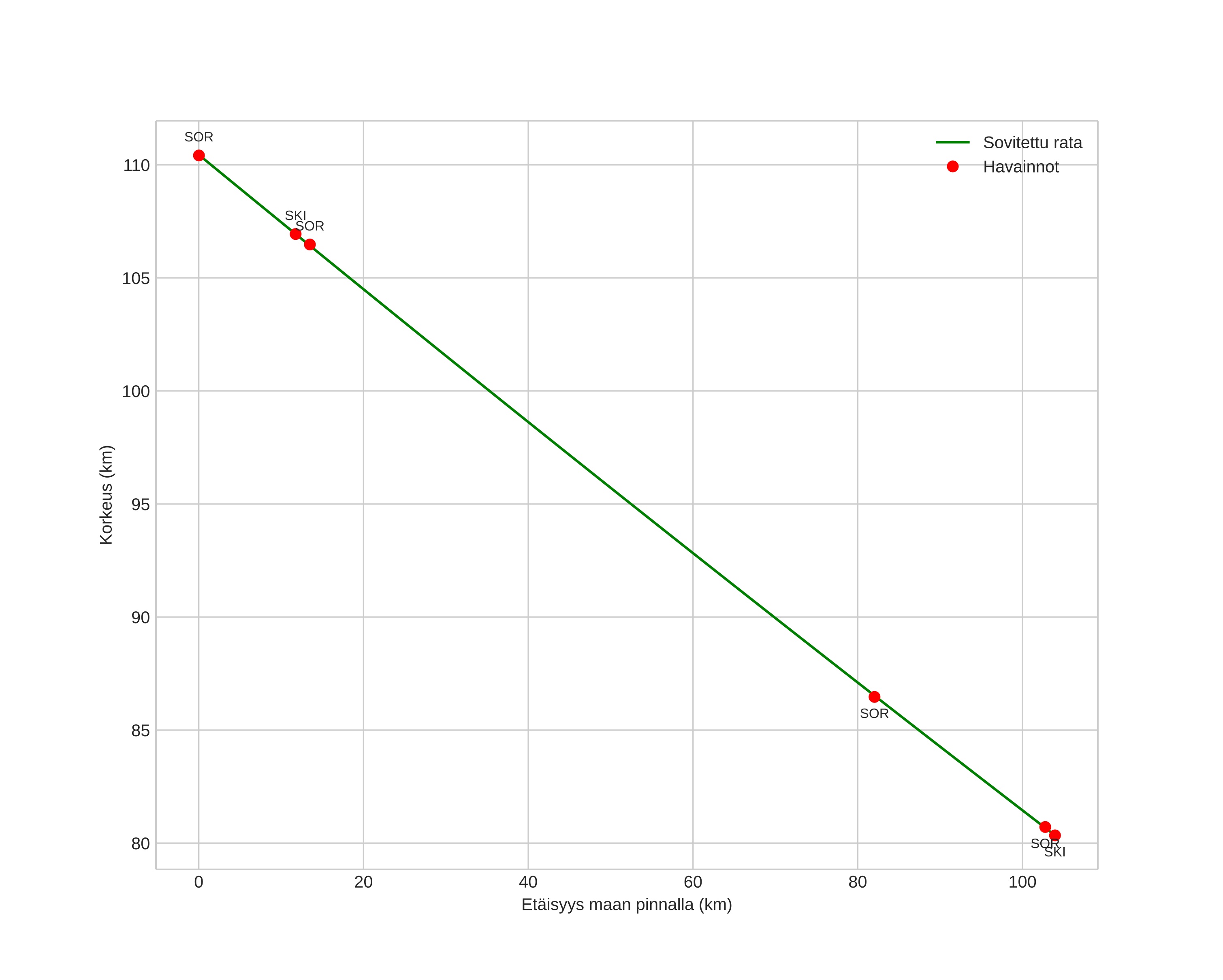
height profile
Meteorin ilmakehärata:
Alkukorkeus: 106,9 km
Loppukorkeus: 79,3 km
Alkupiste: 70,045N 20,878E
Loppupiste: 70,542N 18,781E
Suunta: 306,1°
Kallistuskulma: 16,0°
Tulonopeus: 60,2 km/s
Radiantin R,A,: 08:09 (122,4°)
Radiantin Dekl,: 3,1°
Meteoriparvi: Sigma-hydridit
Meteoroidin rataelementit:
Perihelietäisyys: 0,249 AU
Eksentrisyys: 1,000
Inklinaatio: 127,9°
Nousevan solmun pituus: 74,0°
Perihelin argumentti: 119,6°
Keskianomalia: 360,0°
Epookki: 2020 DEC 05 22:21:50
orbit plot

Ei-interaktiivinen kuvaaja | Interaktiivinen kuvaaja

position vs time
speed and acceleration