🇳🇴 🇬🇧 🇩🇪 🇨🇿 🇫🇮

Meteor, poloha: Jokkmokk 2020-12-06 03:19:47 UTC

Soubor KML  |  InteraktivnĂ­ mapa

Mapa zobrazuje dráhy meteoru. Světlejší čáry ukazují směry od pozorovacích stanic při objevení se meteoru a tmavší čáry, kde byl naposledy viděn. Modrá šipka značí viditelnou dráhu meteoru.

static map
height profile
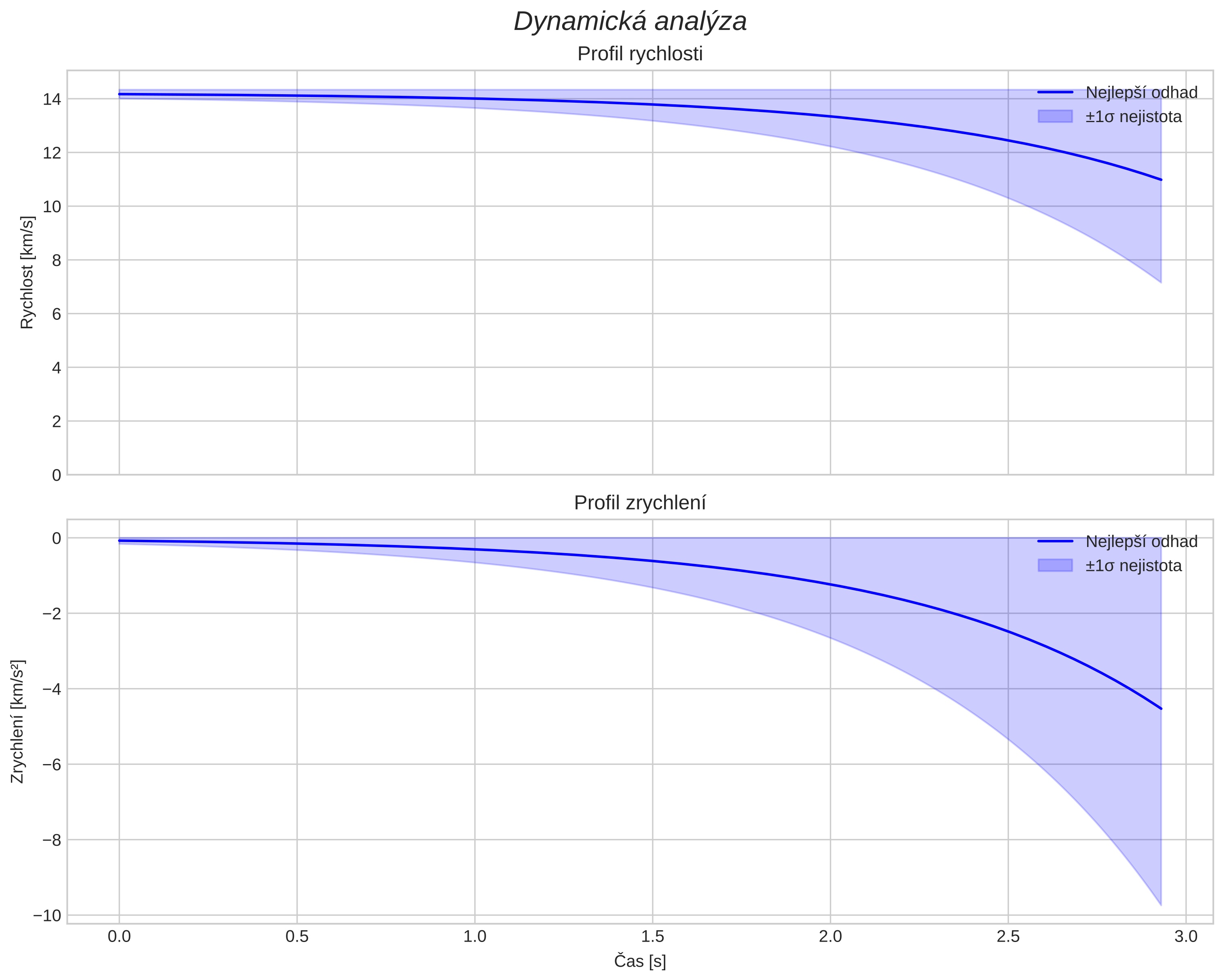
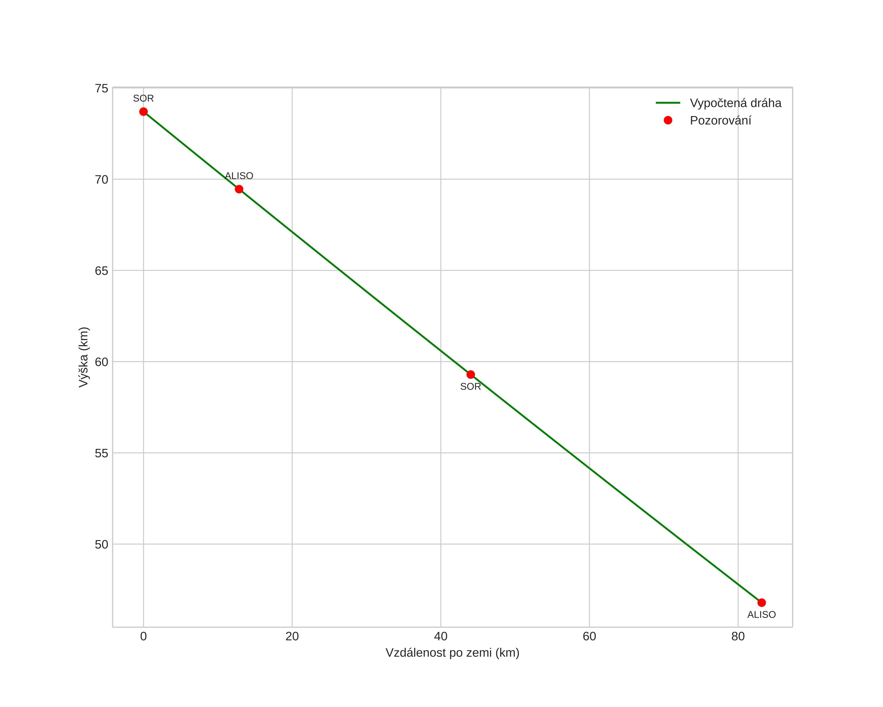
Atmosférická dráha meteoru:
Počáteční výška: 73,8 km
Konečná výška: 46,9 km
Počáteční poloha: 67,624N 19,908E
Konečná poloha: 66,984N 18,885E
Směr: 212,1°
Sklon: 17,8°
VstupnĂ­ rychlost: 14,2 km/s
Rektascenze radiantu: 19:27 (291,8°)
Deklinace radiantu: 17,2°
MeteorickĂ˝ roj: sporadickĂ˝
Elementy dráhy meteoroidu:
Vzdálenost v periheliu: 0,956 AU
Excentricita: 0,422
Sklon dráhy: 8,8°
Délka vzestupného uzlu: 254,2°
Argument perihelia: 154,0°
Střední anomálie: 9,8°
Epocha: 2020 DEC 06 03:19:47
orbit plot

NeinteraktivnĂ­ graf | InteraktivnĂ­ graf

position vs time
speed and acceleration