🇳🇴 🇬🇧 🇩🇪 🇨🇿 🇫🇮

Meteor Jokkmokkin yllä 2020-12-06 03:19:47 UTC

KML-tiedosto  |  Interaktiivinen kartta

Kartta näyttää meteorin suuntahavainnot. Vaaleammat viivat näyttävät suunnat havaintoasemilta meteorin ilmestyessä, ja tummemmat viivat näyttävät, missä se viimeksi nähtiin. Sininen nuoli näyttää meteorin näkyvän lennon.

static map
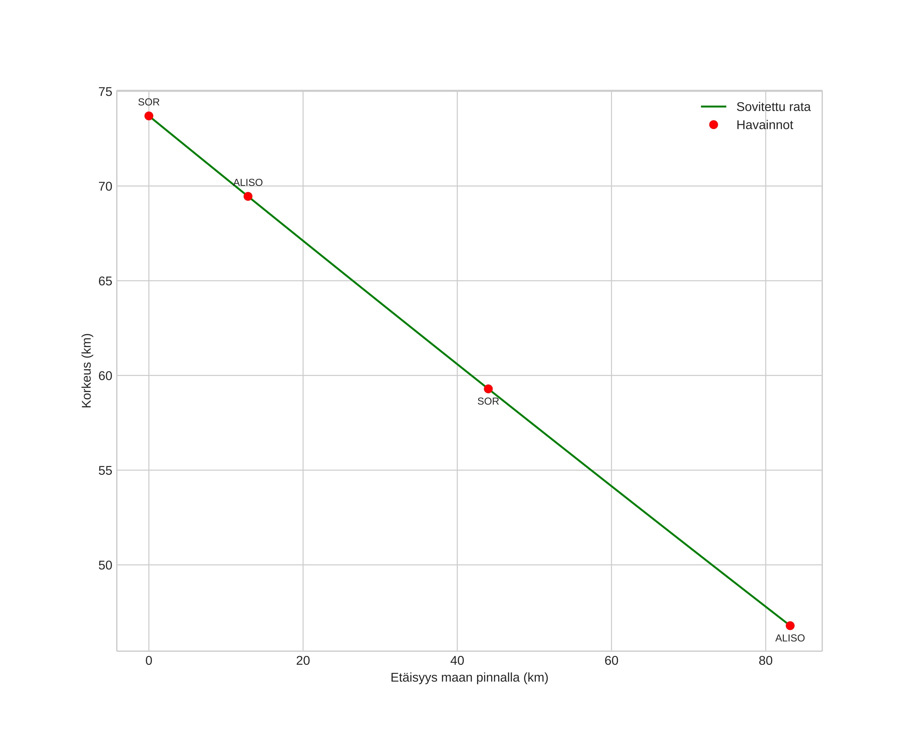
height profile
Meteorin ilmakehärata:
Alkukorkeus: 73,8 km
Loppukorkeus: 46,9 km
Alkupiste: 67,624N 19,908E
Loppupiste: 66,984N 18,885E
Suunta: 212,1°
Kallistuskulma: 17,8°
Tulonopeus: 14,2 km/s
Radiantin R,A,: 19:27 (291,8°)
Radiantin Dekl,: 17,2°
Meteoriparvi: Sporadinen
Meteoroidin rataelementit:
Perihelietäisyys: 0,956 AU
Eksentrisyys: 0,422
Inklinaatio: 8,8°
Nousevan solmun pituus: 254,2°
Perihelin argumentti: 154,0°
Keskianomalia: 9,8°
Epookki: 2020 DEC 06 03:19:47
orbit plot

Ei-interaktiivinen kuvaaja | Interaktiivinen kuvaaja

position vs time
speed and acceleration