🇳🇴 🇬🇧 🇩🇪 🇨🇿 🇫🇮

Meteor, poloha: Ă…ndalsnes 2020-12-10 02:41:49 UTC

Soubor KML  |  InteraktivnĂ­ mapa

Mapa zobrazuje dráhy meteoru. Světlejší čáry ukazují směry od pozorovacích stanic při objevení se meteoru a tmavší čáry, kde byl naposledy viděn. Modrá šipka značí viditelnou dráhu meteoru.

static map
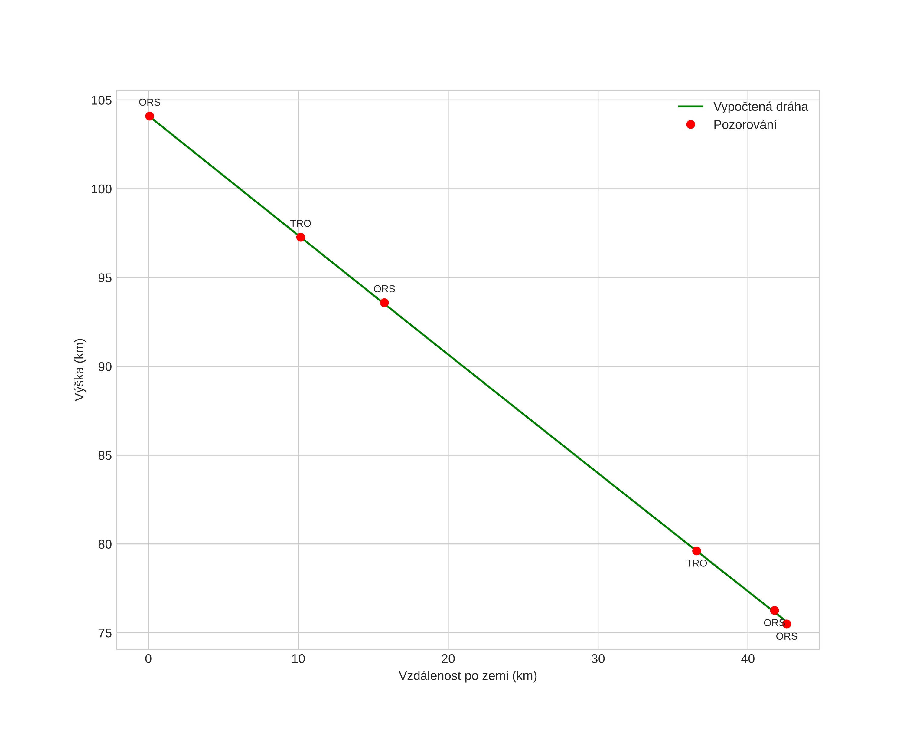
height profile
Atmosférická dráha meteoru:
Počáteční výška: 104,0 km
Konečná výška: 76,9 km
Počáteční poloha: 62,288N 7,396E
Konečná poloha: 62,594N 7,784E
Směr: 30,2°
Sklon: 34,5°
VstupnĂ­ rychlost: 44,2 km/s
Rektascenze radiantu: 06:45 (101,4°)
Deklinace radiantu: 8,9°
MeteorickĂ˝ roj: Monocerotidy
Elementy dráhy meteoroidu:
Vzdálenost v periheliu: 0,163 AU
Excentricita: 0,994
Sklon dráhy: 37,4°
Délka vzestupného uzlu: 78,2°
Argument perihelia: 132,3°
Střední anomálie: 359,8°
Epocha: 2020 DEC 10 02:41:49
orbit plot

NeinteraktivnĂ­ graf | InteraktivnĂ­ graf

position vs time
speed and acceleration