🇳🇴 🇬🇧 🇩🇪 🇨🇿 🇫🇮

Meteor Åndalsnesin yllä 2020-12-10 02:41:49 UTC

KML-tiedosto  |  Interaktiivinen kartta

Kartta näyttää meteorin suuntahavainnot. Vaaleammat viivat näyttävät suunnat havaintoasemilta meteorin ilmestyessä, ja tummemmat viivat näyttävät, missä se viimeksi nähtiin. Sininen nuoli näyttää meteorin näkyvän lennon.

static map
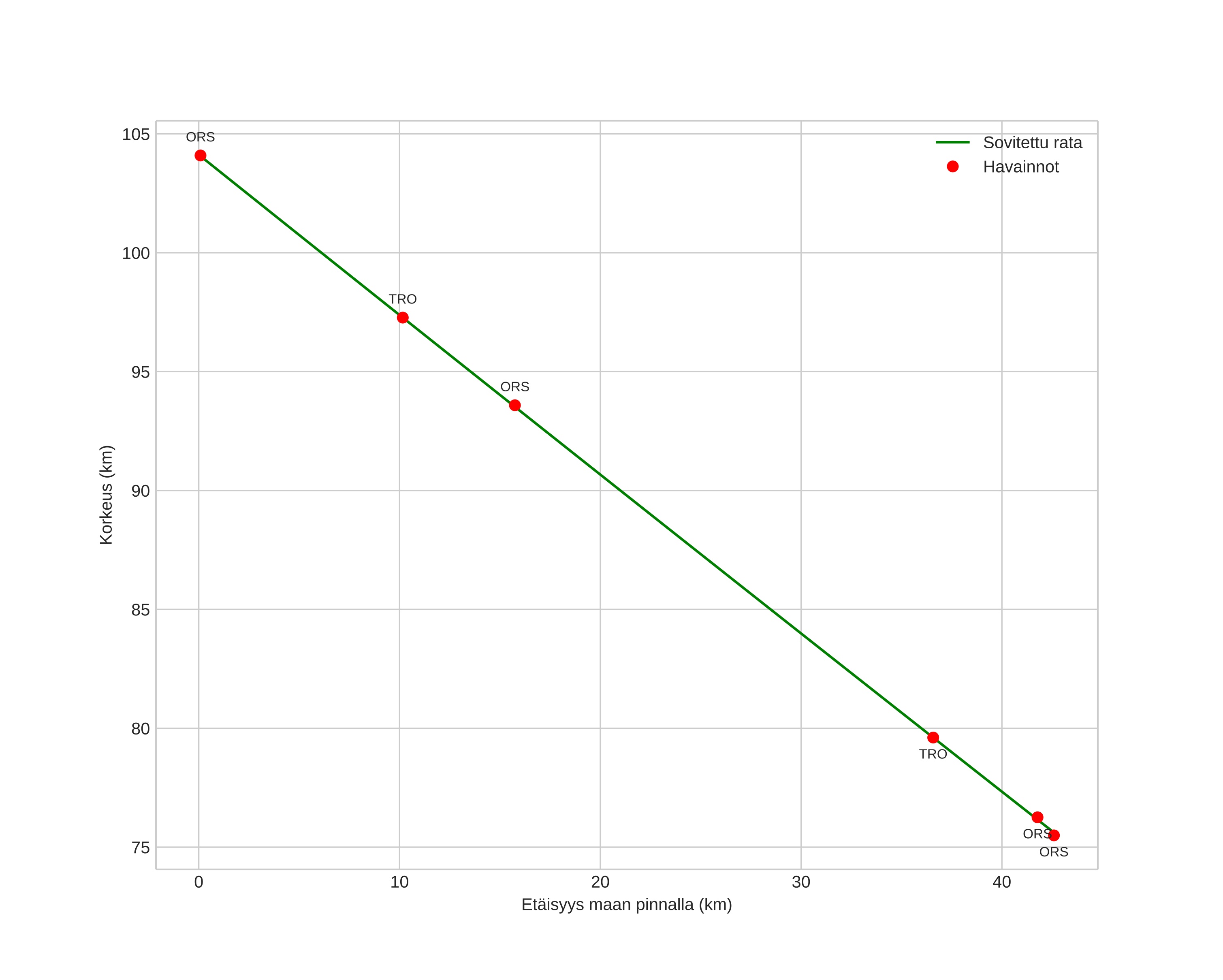
height profile
Meteorin ilmakehärata:
Alkukorkeus: 104,0 km
Loppukorkeus: 76,9 km
Alkupiste: 62,288N 7,396E
Loppupiste: 62,594N 7,784E
Suunta: 30,2°
Kallistuskulma: 34,5°
Tulonopeus: 44,2 km/s
Radiantin R,A,: 06:45 (101,4°)
Radiantin Dekl,: 8,9°
Meteoriparvi: Monoserotidit
Meteoroidin rataelementit:
Perihelietäisyys: 0,163 AU
Eksentrisyys: 0,994
Inklinaatio: 37,4°
Nousevan solmun pituus: 78,2°
Perihelin argumentti: 132,3°
Keskianomalia: 359,8°
Epookki: 2020 DEC 10 02:41:49
orbit plot

Ei-interaktiivinen kuvaaja | Interaktiivinen kuvaaja

position vs time
speed and acceleration