🇳🇴 🇬🇧 🇩🇪 🇨🇿 🇫🇮

Meteor, poloha: Finnsnes 2020-12-11 14:24:14 UTC

Soubor KML  |  InteraktivnĂ­ mapa

Mapa zobrazuje dráhy meteoru. Světlejší čáry ukazují směry od pozorovacích stanic při objevení se meteoru a tmavší čáry, kde byl naposledy viděn. Modrá šipka značí viditelnou dráhu meteoru.

static map
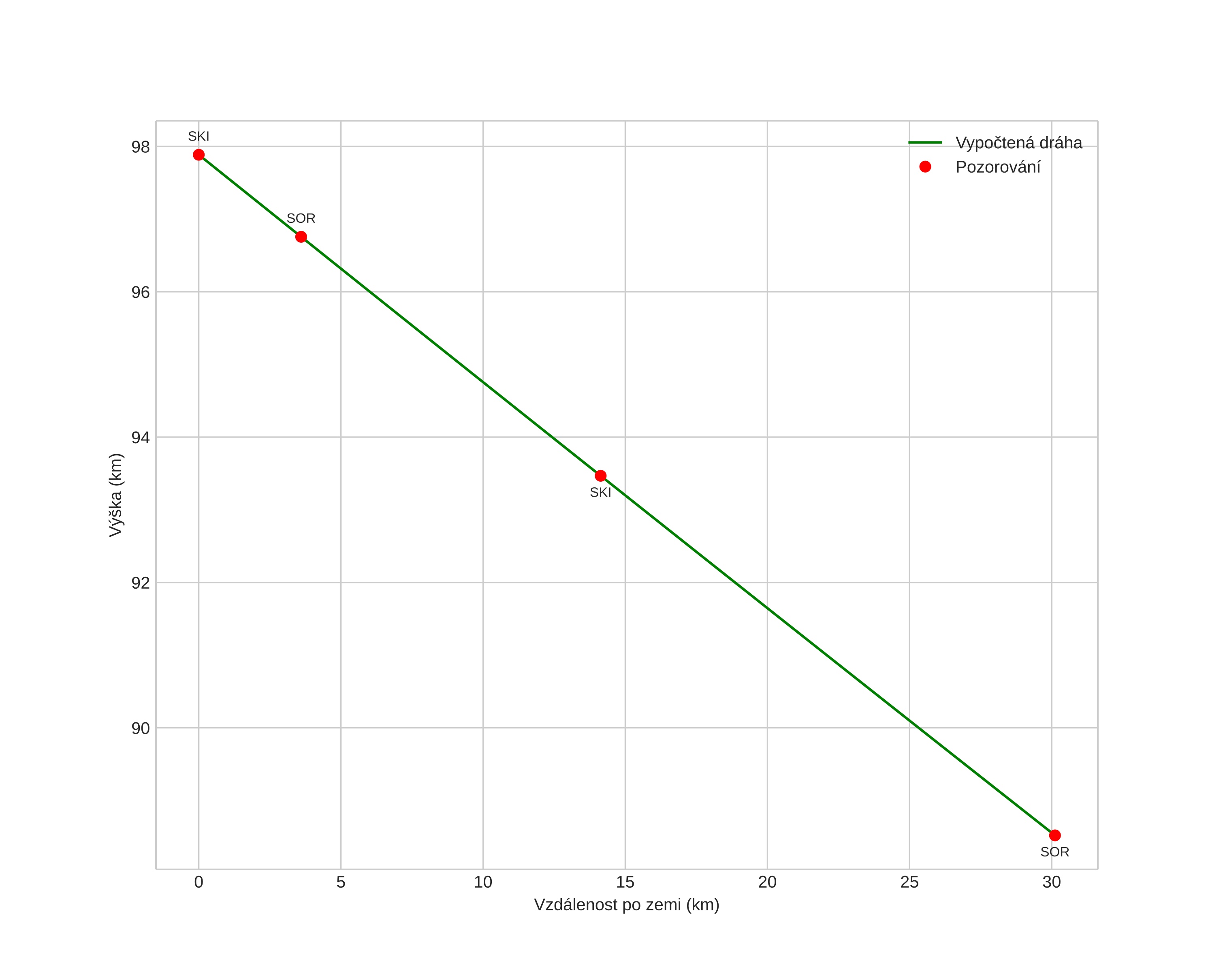
height profile
Atmosférická dráha meteoru:
Počáteční výška: 101,9 km
Konečná výška: 80,3 km
Počáteční poloha: 70,555N 18,504E
Konečná poloha: 70,061N 17,832E
Směr: 204,9°
Sklon: 19,7°
VstupnĂ­ rychlost: 46,2 km/s
Rektascenze radiantu: 07:02 (105,5°)
Deklinace radiantu: 35,9°
MeteorickĂ˝ roj: sporadickĂ˝
Elementy dráhy meteoroidu:
Vzdálenost v periheliu: 0,149 AU
Excentricita: 1,017
Sklon dráhy: 37,9°
Délka vzestupného uzlu: 259,7°
Argument perihelia: 313,1°
Střední anomálie: -1,2°
Epocha: 2020 DEC 11 14:24:14
orbit plot

NeinteraktivnĂ­ graf | InteraktivnĂ­ graf

position vs time
speed and acceleration