🇳🇴 🇬🇧 🇩🇪 🇨🇿 🇫🇮

Meteor Finnsnesin yllä 2020-12-11 14:24:14 UTC

KML-tiedosto  |  Interaktiivinen kartta

Kartta näyttää meteorin suuntahavainnot. Vaaleammat viivat näyttävät suunnat havaintoasemilta meteorin ilmestyessä, ja tummemmat viivat näyttävät, missä se viimeksi nähtiin. Sininen nuoli näyttää meteorin näkyvän lennon.

static map
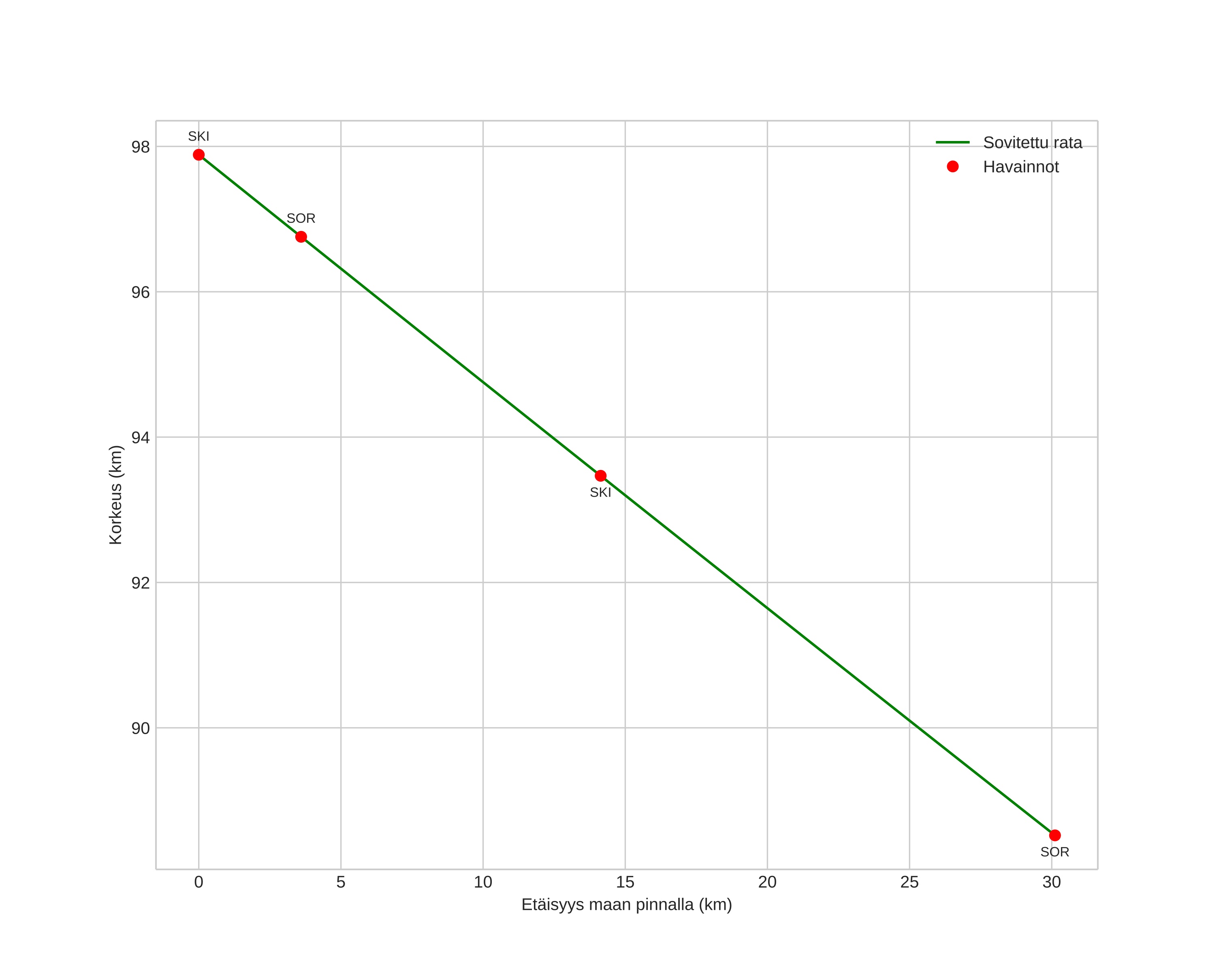
height profile
Meteorin ilmakehärata:
Alkukorkeus: 101,9 km
Loppukorkeus: 80,3 km
Alkupiste: 70,555N 18,504E
Loppupiste: 70,061N 17,832E
Suunta: 204,9°
Kallistuskulma: 19,7°
Tulonopeus: 46,2 km/s
Radiantin R,A,: 07:02 (105,5°)
Radiantin Dekl,: 35,9°
Meteoriparvi: Sporadinen
Meteoroidin rataelementit:
Perihelietäisyys: 0,149 AU
Eksentrisyys: 1,017
Inklinaatio: 37,9°
Nousevan solmun pituus: 259,7°
Perihelin argumentti: 313,1°
Keskianomalia: -1,2°
Epookki: 2020 DEC 11 14:24:14
orbit plot

Ei-interaktiivinen kuvaaja | Interaktiivinen kuvaaja

position vs time
speed and acceleration