🇳🇴 🇬🇧 🇩🇪 🇨🇿 🇫🇮

Meteor, poloha: Måløy 2020-12-12 04:58:02 UTC

Soubor KML  |  InteraktivnĂ­ mapa

Mapa zobrazuje dráhy meteoru. Světlejší čáry ukazují směry od pozorovacích stanic při objevení se meteoru a tmavší čáry, kde byl naposledy viděn. Modrá šipka značí viditelnou dráhu meteoru.

static map
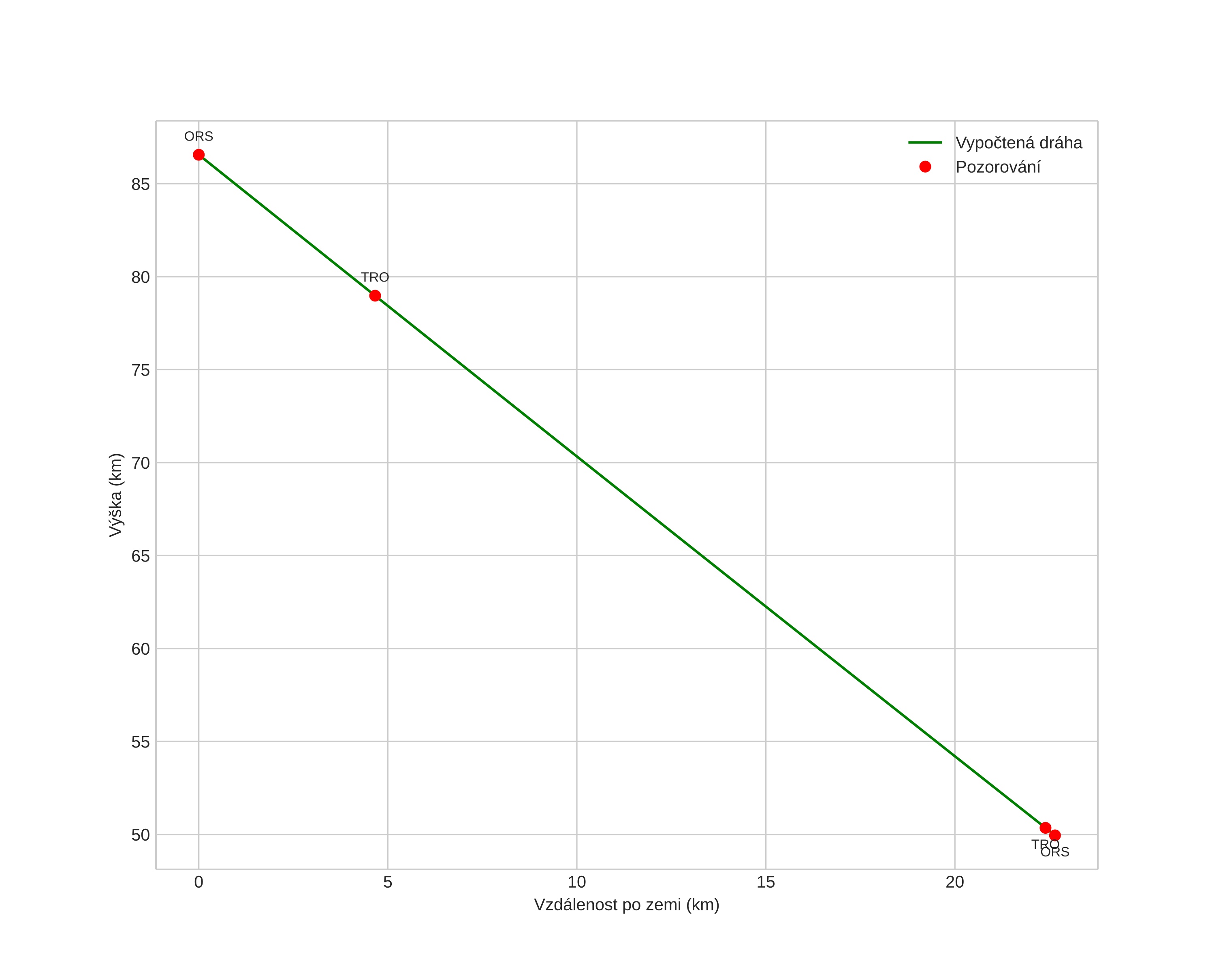
height profile
Atmosférická dráha meteoru:
Počáteční výška: 86,6 km
Konečná výška: 49,9 km
Počáteční poloha: 62,661N 4,305E
Konečná poloha: 62,497N 4,572E
Směr: 142,9°
Sklon: 58,2°
VstupnĂ­ rychlost: 25,4 km/s
Rektascenze radiantu: 04:34 (68,5°)
Deklinace radiantu: 70,0°
MeteorickĂ˝ roj: sporadickĂ˝
Elementy dráhy meteoroidu:
Vzdálenost v periheliu: 0,781 AU
Excentricita: 0,700
Sklon dráhy: 28,9°
Délka vzestupného uzlu: 260,3°
Argument perihelia: 240,1°
Střední anomálie: 351,1°
Epocha: 2020 DEC 12 04:58:02
orbit plot

NeinteraktivnĂ­ graf | InteraktivnĂ­ graf

position vs time
speed and acceleration