🇳🇴 🇬🇧 🇩🇪 🇨🇿 🇫🇮

Meteor Måløyn yllä 2020-12-12 04:58:02 UTC

KML-tiedosto  |  Interaktiivinen kartta

Kartta näyttää meteorin suuntahavainnot. Vaaleammat viivat näyttävät suunnat havaintoasemilta meteorin ilmestyessä, ja tummemmat viivat näyttävät, missä se viimeksi nähtiin. Sininen nuoli näyttää meteorin näkyvän lennon.

static map
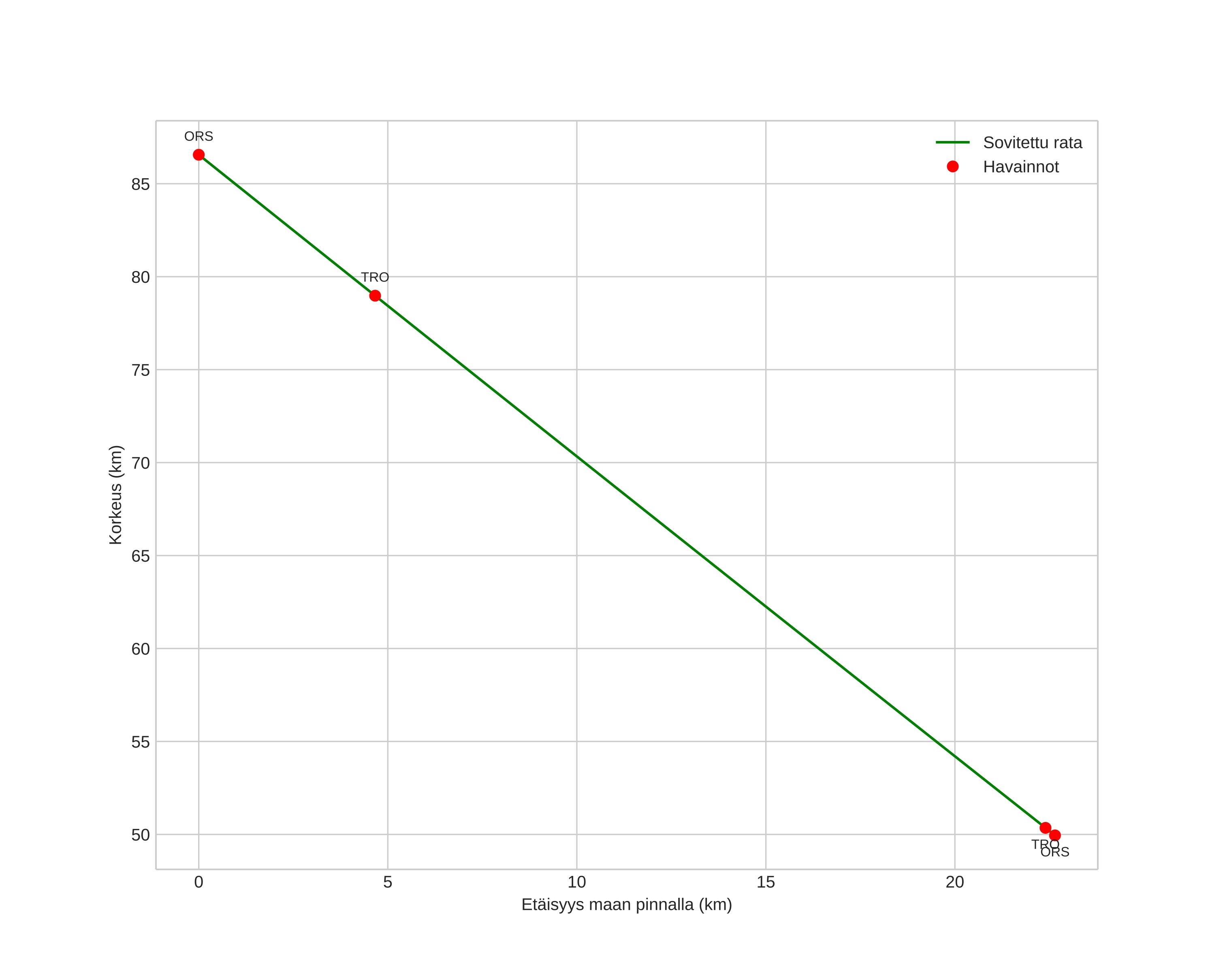
height profile
Meteorin ilmakehärata:
Alkukorkeus: 86,6 km
Loppukorkeus: 49,9 km
Alkupiste: 62,661N 4,305E
Loppupiste: 62,497N 4,572E
Suunta: 142,9°
Kallistuskulma: 58,2°
Tulonopeus: 25,4 km/s
Radiantin R,A,: 04:34 (68,5°)
Radiantin Dekl,: 70,0°
Meteoriparvi: Sporadinen
Meteoroidin rataelementit:
Perihelietäisyys: 0,781 AU
Eksentrisyys: 0,700
Inklinaatio: 28,9°
Nousevan solmun pituus: 260,3°
Perihelin argumentti: 240,1°
Keskianomalia: 351,1°
Epookki: 2020 DEC 12 04:58:02
orbit plot

Ei-interaktiivinen kuvaaja | Interaktiivinen kuvaaja

position vs time
speed and acceleration