🇳🇴 🇬🇧 🇩🇪 🇨🇿 🇫🇮

Meteor, poloha: FosnavĂĄg 2020-12-12 05:10:14 UTC

Soubor KML  |  InteraktivnĂ­ mapa

Mapa zobrazuje dráhy meteoru. Světlejší čáry ukazují směry od pozorovacích stanic při objevení se meteoru a tmavší čáry, kde byl naposledy viděn. Modrá šipka značí viditelnou dráhu meteoru.

static map
height profile
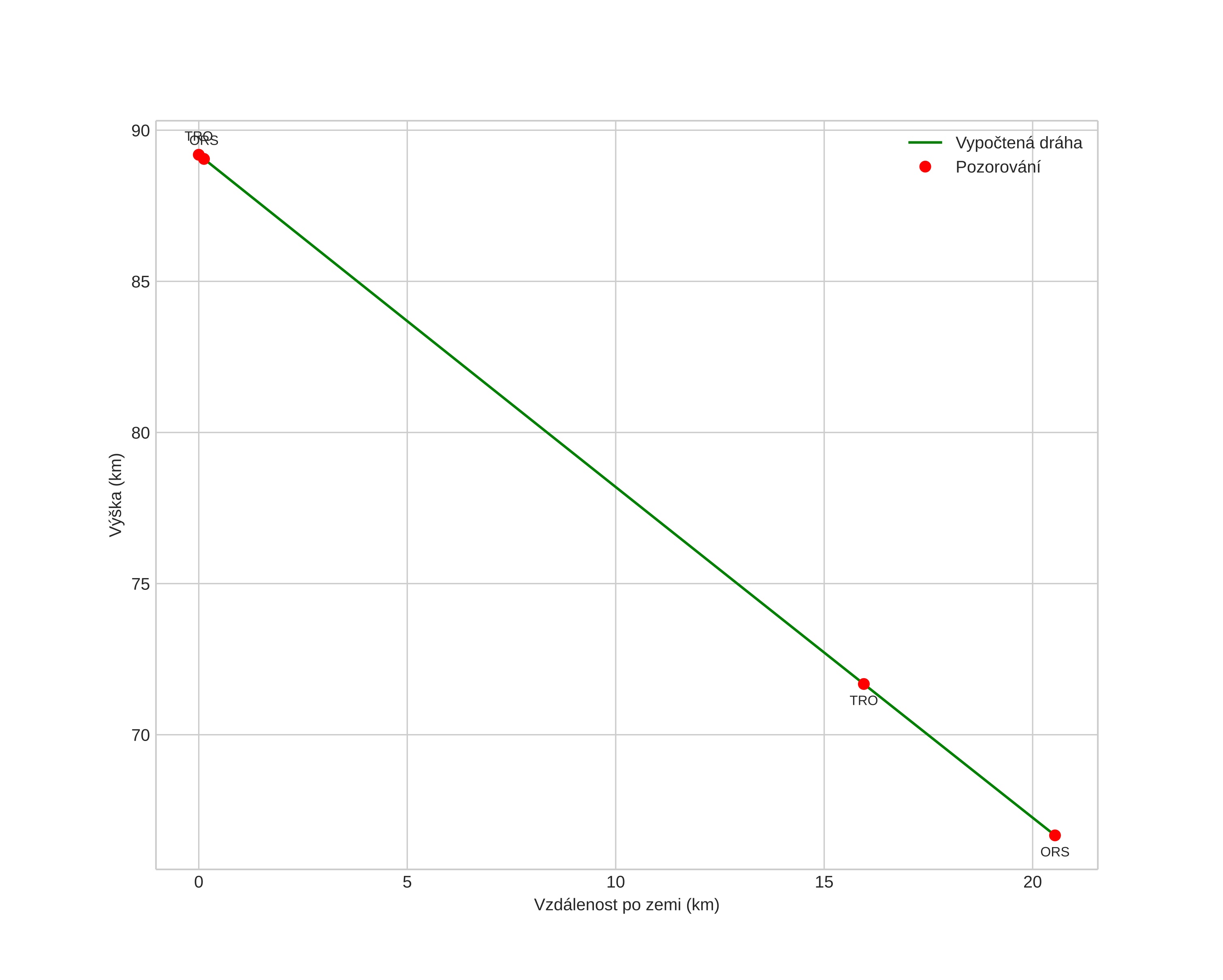
Atmosférická dráha meteoru:
Počáteční výška: 91,8 km
Konečná výška: 67,9 km
Počáteční poloha: 63,158N 4,460E
Konečná poloha: 63,225N 4,869E
Směr: 69,9°
Sklon: 47,6°
VstupnĂ­ rychlost: 32,1 km/s
Rektascenze radiantu: 07:29 (112,4°)
Deklinace radiantu: 32,2°
MeteorickĂ˝ roj: Geminidy
Elementy dráhy meteoroidu:
Vzdálenost v periheliu: 0,168 AU
Excentricita: 0,844
Sklon dráhy: 18,7°
Délka vzestupného uzlu: 260,3°
Argument perihelia: 324,4°
Střední anomálie: 323,7°
Epocha: 2020 DEC 12 05:10:14
orbit plot

NeinteraktivnĂ­ graf | InteraktivnĂ­ graf

position vs time
speed and acceleration