🇳🇴 🇬🇧 🇩🇪 🇨🇿 🇫🇮

Meteor Fosnavågin yllä 2020-12-12 05:10:14 UTC

KML-tiedosto  |  Interaktiivinen kartta

Kartta näyttää meteorin suuntahavainnot. Vaaleammat viivat näyttävät suunnat havaintoasemilta meteorin ilmestyessä, ja tummemmat viivat näyttävät, missä se viimeksi nähtiin. Sininen nuoli näyttää meteorin näkyvän lennon.

static map
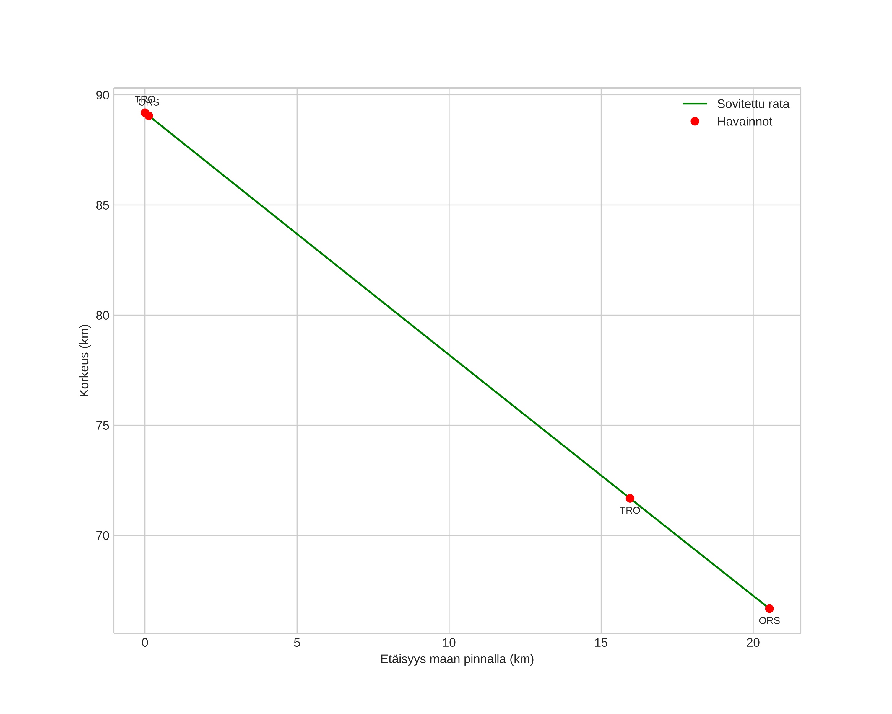
height profile
Meteorin ilmakehärata:
Alkukorkeus: 91,8 km
Loppukorkeus: 67,9 km
Alkupiste: 63,158N 4,460E
Loppupiste: 63,225N 4,869E
Suunta: 69,9°
Kallistuskulma: 47,6°
Tulonopeus: 32,1 km/s
Radiantin R,A,: 07:29 (112,4°)
Radiantin Dekl,: 32,2°
Meteoriparvi: Geminidit
Meteoroidin rataelementit:
Perihelietäisyys: 0,168 AU
Eksentrisyys: 0,844
Inklinaatio: 18,7°
Nousevan solmun pituus: 260,3°
Perihelin argumentti: 324,4°
Keskianomalia: 323,7°
Epookki: 2020 DEC 12 05:10:14
orbit plot

Ei-interaktiivinen kuvaaja | Interaktiivinen kuvaaja

position vs time
speed and acceleration