🇳🇴 🇬🇧 🇩🇪 🇨🇿 🇫🇮

Meteor, poloha: Tingvoll 2020-12-12 16:59:08 UTC

Soubor KML  |  InteraktivnĂ­ mapa

Mapa zobrazuje dráhy meteoru. Světlejší čáry ukazují směry od pozorovacích stanic při objevení se meteoru a tmavší čáry, kde byl naposledy viděn. Modrá šipka značí viditelnou dráhu meteoru.

static map
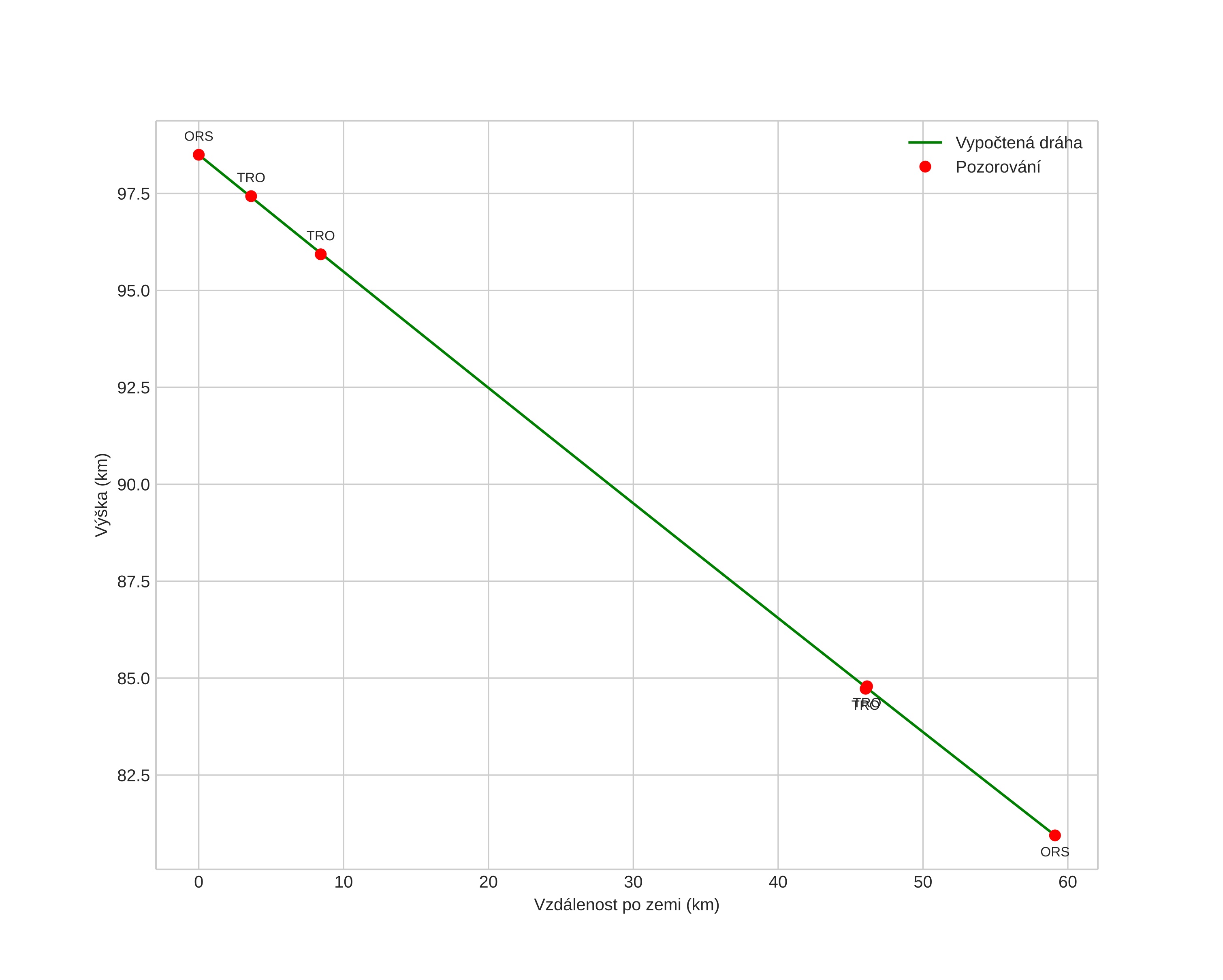
height profile
Atmosférická dráha meteoru:
Počáteční výška: 98,6 km
Konečná výška: 80,5 km
Počáteční poloha: 63,422N 8,873E
Konečná poloha: 63,030N 8,046E
Směr: 223,9°
Sklon: 16,8°
VstupnĂ­ rychlost: 36,5 km/s
Rektascenze radiantu: 07:30 (112,6°)
Deklinace radiantu: 32,8°
MeteorickĂ˝ roj: Geminidy
Elementy dráhy meteoroidu:
Vzdálenost v periheliu: 0,139 AU
Excentricita: 0,898
Sklon dráhy: 24,8°
Délka vzestupného uzlu: 260,8°
Argument perihelia: 324,6°
Střední anomálie: 336,8°
Epocha: 2020 DEC 12 16:59:08
orbit plot

NeinteraktivnĂ­ graf | InteraktivnĂ­ graf

position vs time
speed and acceleration