🇳🇴 🇬🇧 🇩🇪 🇨🇿 🇫🇮

Meteor Tingvollin yllä 2020-12-12 16:59:08 UTC

KML-tiedosto  |  Interaktiivinen kartta

Kartta näyttää meteorin suuntahavainnot. Vaaleammat viivat näyttävät suunnat havaintoasemilta meteorin ilmestyessä, ja tummemmat viivat näyttävät, missä se viimeksi nähtiin. Sininen nuoli näyttää meteorin näkyvän lennon.

static map
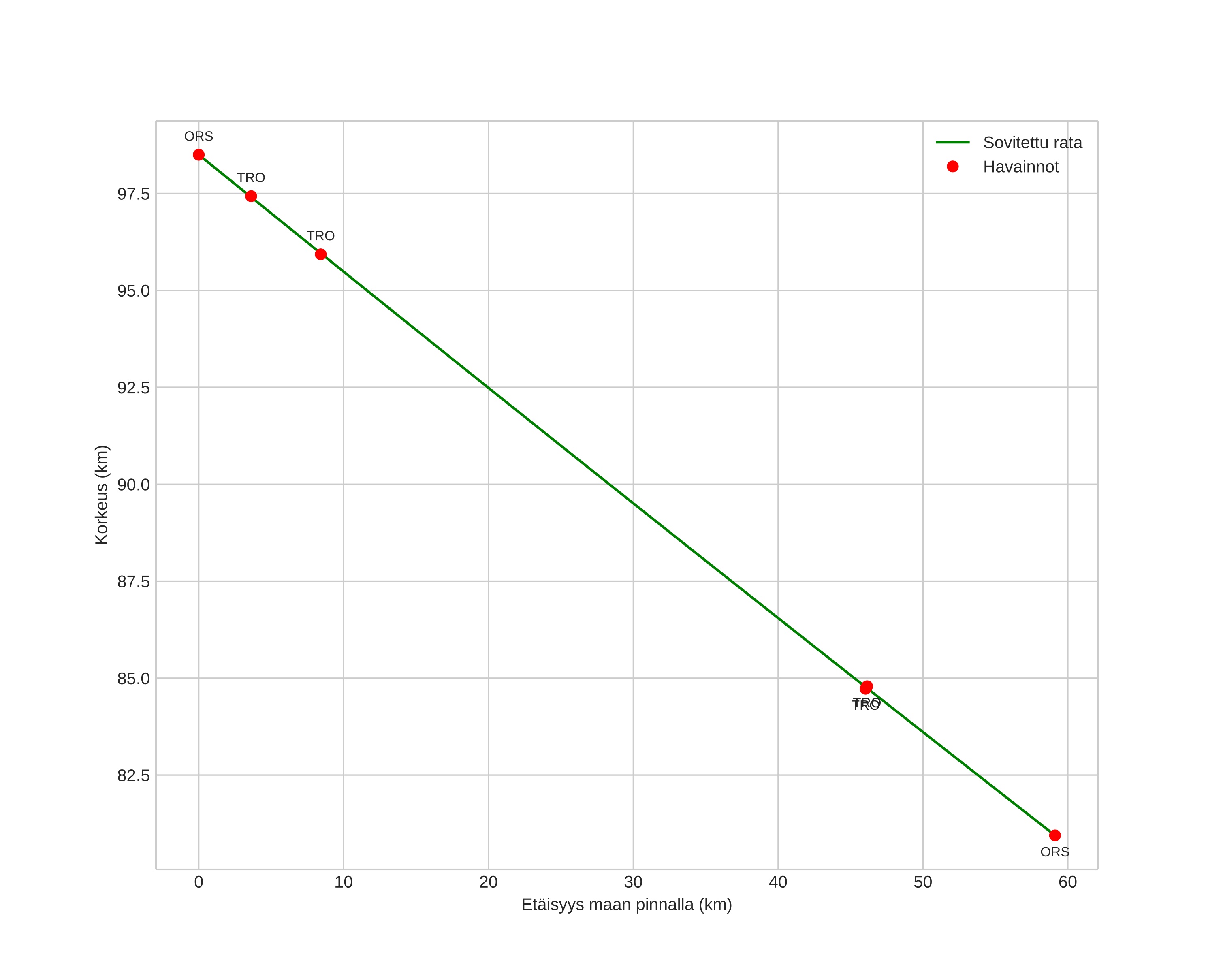
height profile
Meteorin ilmakehärata:
Alkukorkeus: 98,6 km
Loppukorkeus: 80,5 km
Alkupiste: 63,422N 8,873E
Loppupiste: 63,030N 8,046E
Suunta: 223,9°
Kallistuskulma: 16,8°
Tulonopeus: 36,5 km/s
Radiantin R,A,: 07:30 (112,6°)
Radiantin Dekl,: 32,8°
Meteoriparvi: Geminidit
Meteoroidin rataelementit:
Perihelietäisyys: 0,139 AU
Eksentrisyys: 0,898
Inklinaatio: 24,8°
Nousevan solmun pituus: 260,8°
Perihelin argumentti: 324,6°
Keskianomalia: 336,8°
Epookki: 2020 DEC 12 16:59:08
orbit plot

Ei-interaktiivinen kuvaaja | Interaktiivinen kuvaaja

position vs time
speed and acceleration