🇳🇴 🇬🇧 🇩🇪 🇨🇿 🇫🇮

Meteor, poloha: EidsvĂĄg 2020-12-12 19:07:08 UTC

Soubor KML  |  InteraktivnĂ­ mapa

Mapa zobrazuje dráhy meteoru. Světlejší čáry ukazují směry od pozorovacích stanic při objevení se meteoru a tmavší čáry, kde byl naposledy viděn. Modrá šipka značí viditelnou dráhu meteoru.

static map
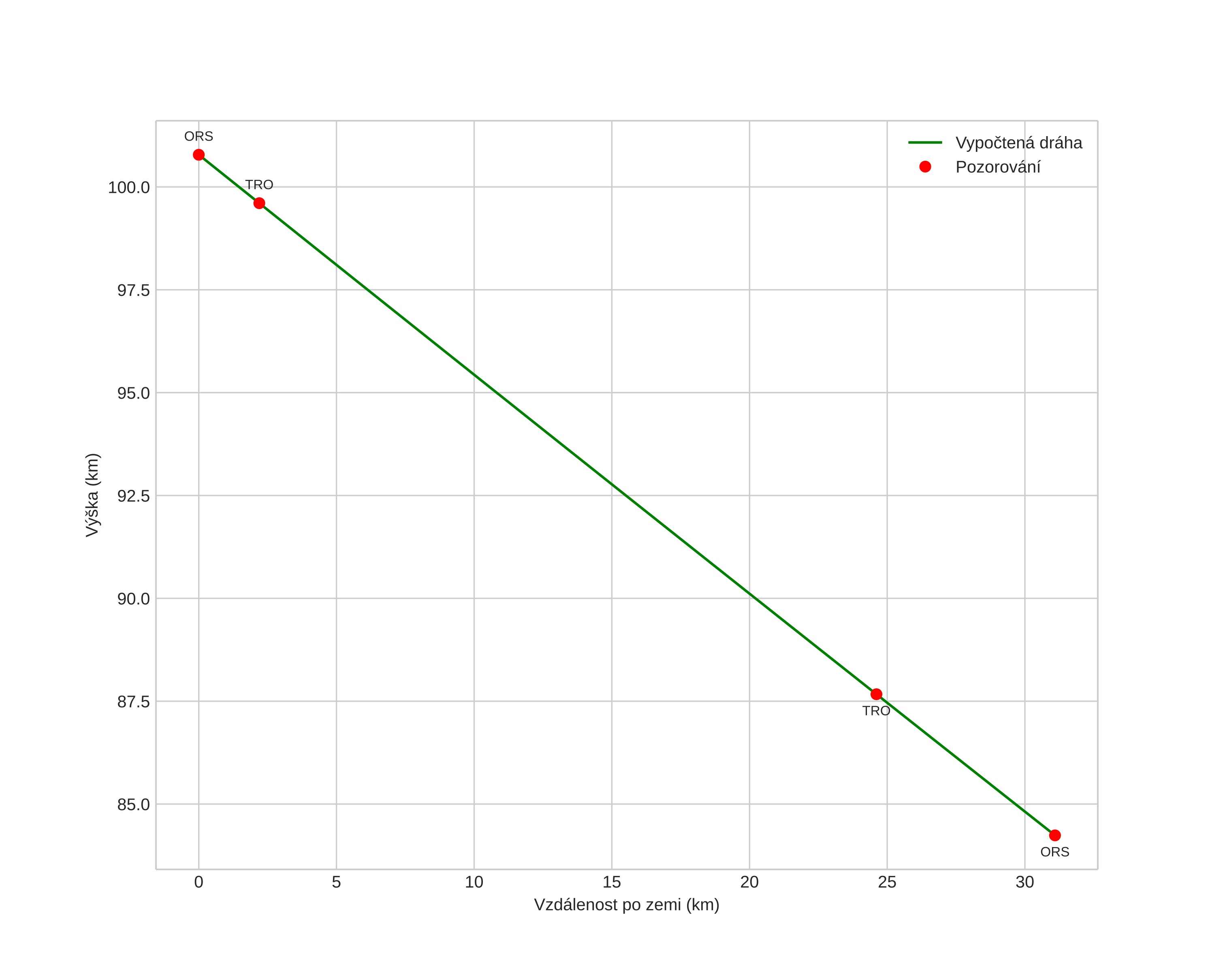
height profile
Atmosférická dráha meteoru:
Počáteční výška: 100,6 km
Konečná výška: 84,4 km
Počáteční poloha: 62,840N 8,517E
Konečná poloha: 62,741N 7,954E
Směr: 249,2°
Sklon: 27,9°
VstupnĂ­ rychlost: 34,9 km/s
Rektascenze radiantu: 07:29 (112,5°)
Deklinace radiantu: 32,6°
MeteorickĂ˝ roj: Geminidy
Elementy dráhy meteoroidu:
Vzdálenost v periheliu: 0,152 AU
Excentricita: 0,877
Sklon dráhy: 22,1°
Délka vzestupného uzlu: 260,9°
Argument perihelia: 324,0°
Střední anomálie: 332,3°
Epocha: 2020 DEC 12 19:07:08
orbit plot

NeinteraktivnĂ­ graf | InteraktivnĂ­ graf

position vs time
speed and acceleration