🇳🇴 🇬🇧 🇩🇪 🇨🇿 🇫🇮

Meteor Eidsvågin yllä 2020-12-12 19:07:08 UTC

KML-tiedosto  |  Interaktiivinen kartta

Kartta näyttää meteorin suuntahavainnot. Vaaleammat viivat näyttävät suunnat havaintoasemilta meteorin ilmestyessä, ja tummemmat viivat näyttävät, missä se viimeksi nähtiin. Sininen nuoli näyttää meteorin näkyvän lennon.

static map
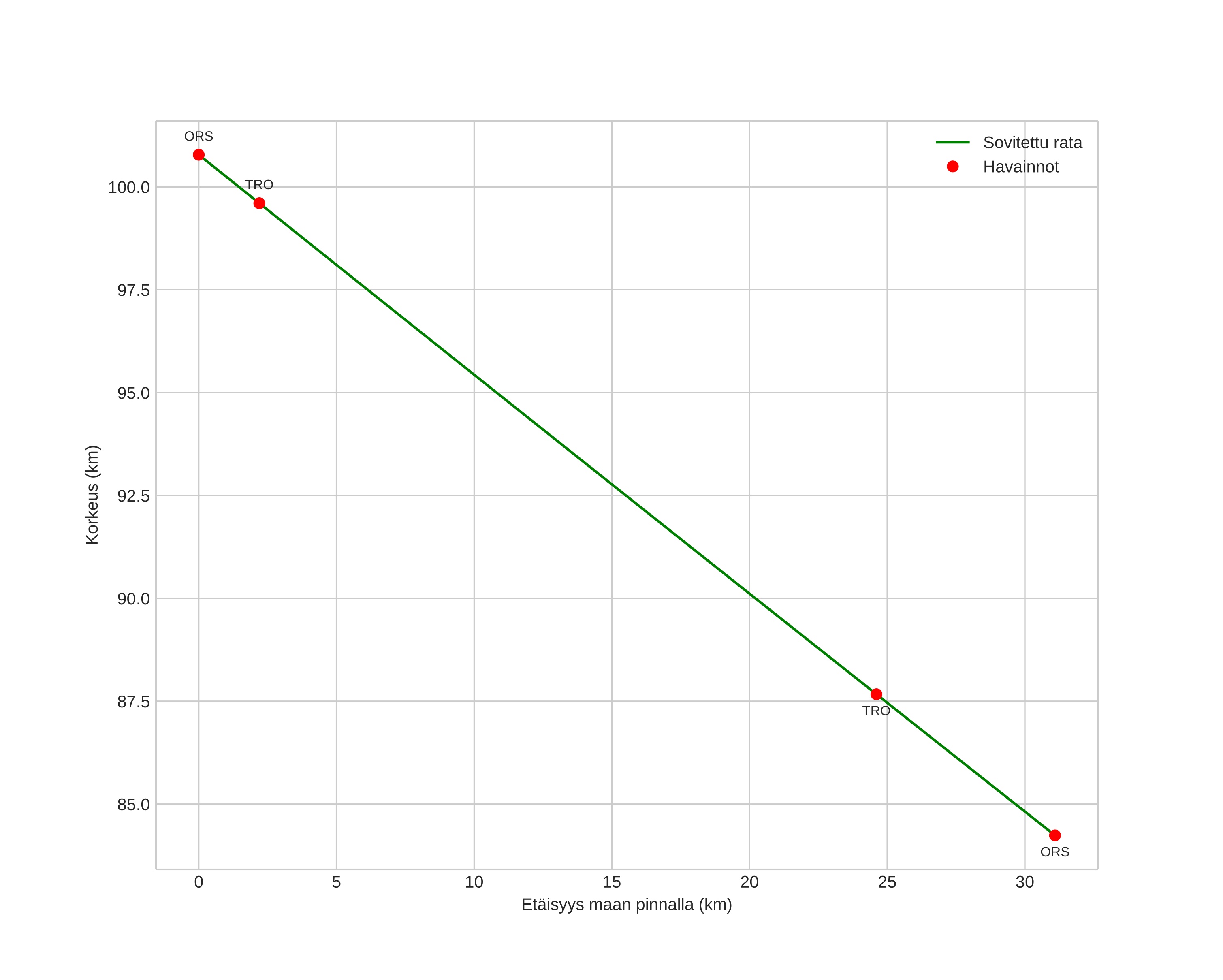
height profile
Meteorin ilmakehärata:
Alkukorkeus: 100,6 km
Loppukorkeus: 84,4 km
Alkupiste: 62,840N 8,517E
Loppupiste: 62,741N 7,954E
Suunta: 249,2°
Kallistuskulma: 27,9°
Tulonopeus: 34,9 km/s
Radiantin R,A,: 07:29 (112,5°)
Radiantin Dekl,: 32,6°
Meteoriparvi: Geminidit
Meteoroidin rataelementit:
Perihelietäisyys: 0,152 AU
Eksentrisyys: 0,877
Inklinaatio: 22,1°
Nousevan solmun pituus: 260,9°
Perihelin argumentti: 324,0°
Keskianomalia: 332,3°
Epookki: 2020 DEC 12 19:07:08
orbit plot

Ei-interaktiivinen kuvaaja | Interaktiivinen kuvaaja

position vs time
speed and acceleration