🇳🇴 🇬🇧 🇩🇪 🇨🇿 🇫🇮

Meteor, poloha: EidsvĂĄg 2020-12-12 20:20:51 UTC

Soubor KML  |  InteraktivnĂ­ mapa

Mapa zobrazuje dráhy meteoru. Světlejší čáry ukazují směry od pozorovacích stanic při objevení se meteoru a tmavší čáry, kde byl naposledy viděn. Modrá šipka značí viditelnou dráhu meteoru.

static map
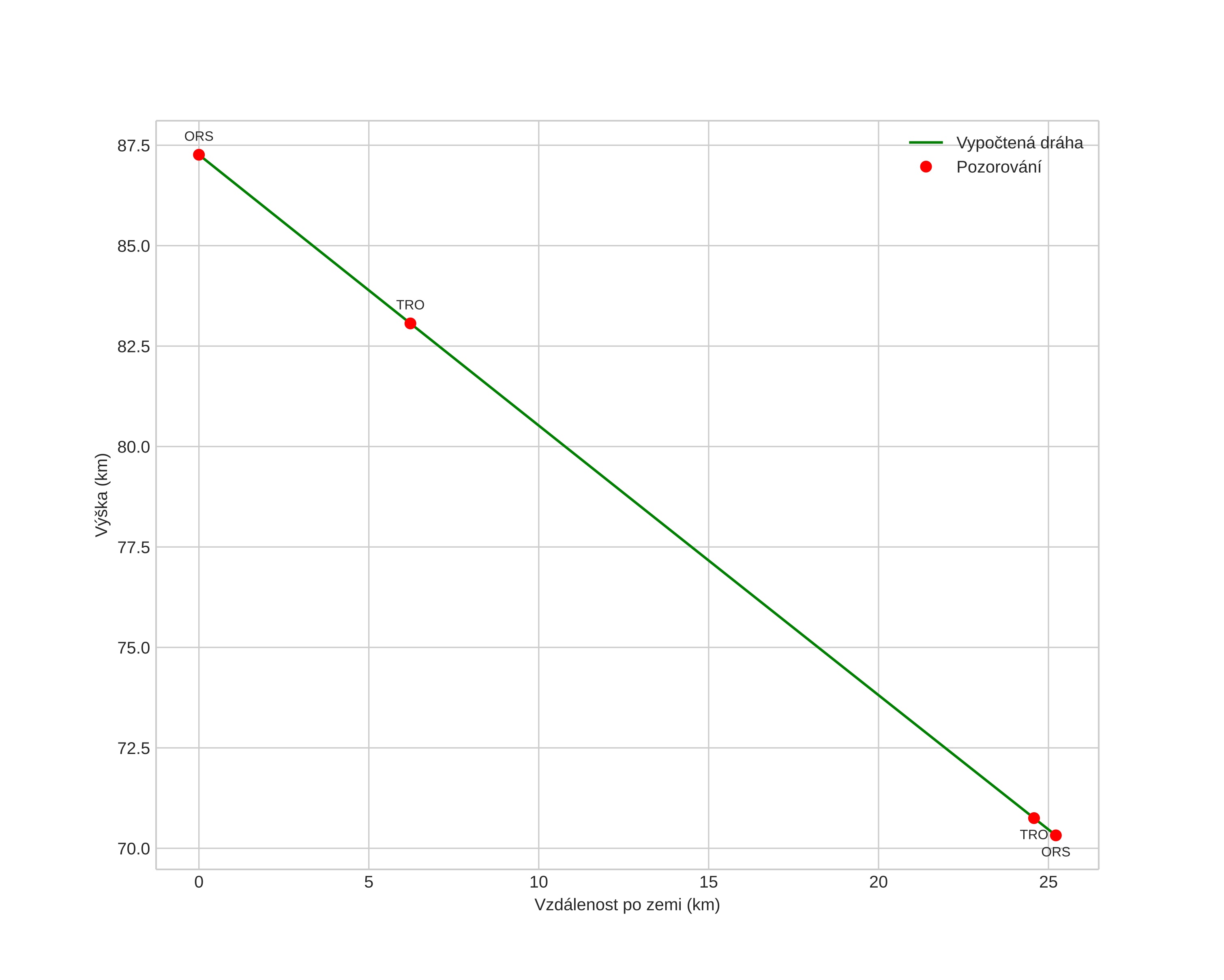
height profile
Atmosférická dráha meteoru:
Počáteční výška: 84,2 km
Konečná výška: 70,2 km
Počáteční poloha: 62,761N 7,685E
Konečná poloha: 62,702N 8,073E
Směr: 108,4°
Sklon: 33,9°
VstupnĂ­ rychlost: 17,4 km/s
Rektascenze radiantu: 20:05 (301,3°)
Deklinace radiantu: 30,8°
MeteorickĂ˝ roj: sporadickĂ˝
Elementy dráhy meteoroidu:
Vzdálenost v periheliu: 0,963 AU
Excentricita: 0,696
Sklon dráhy: 15,5°
Délka vzestupného uzlu: 261,0°
Argument perihelia: 161,4°
Střední anomálie: 2,4°
Epocha: 2020 DEC 12 20:20:51
orbit plot

NeinteraktivnĂ­ graf | InteraktivnĂ­ graf

position vs time
speed and acceleration