🇳🇴 🇬🇧 🇩🇪 🇨🇿 🇫🇮

Meteor Eidsvågin yllä 2020-12-12 20:20:51 UTC

KML-tiedosto  |  Interaktiivinen kartta

Kartta näyttää meteorin suuntahavainnot. Vaaleammat viivat näyttävät suunnat havaintoasemilta meteorin ilmestyessä, ja tummemmat viivat näyttävät, missä se viimeksi nähtiin. Sininen nuoli näyttää meteorin näkyvän lennon.

static map
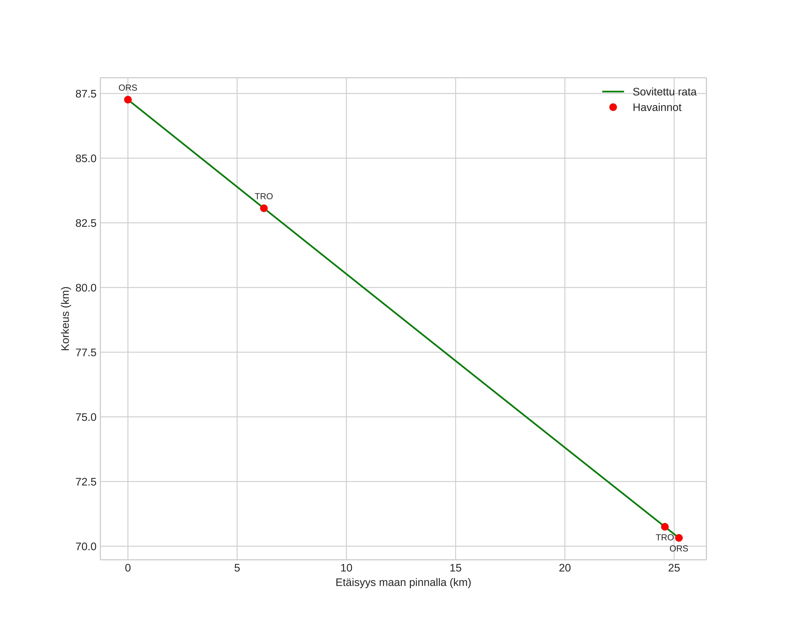
height profile
Meteorin ilmakehärata:
Alkukorkeus: 84,2 km
Loppukorkeus: 70,2 km
Alkupiste: 62,761N 7,685E
Loppupiste: 62,702N 8,073E
Suunta: 108,4°
Kallistuskulma: 33,9°
Tulonopeus: 17,4 km/s
Radiantin R,A,: 20:05 (301,3°)
Radiantin Dekl,: 30,8°
Meteoriparvi: Sporadinen
Meteoroidin rataelementit:
Perihelietäisyys: 0,963 AU
Eksentrisyys: 0,696
Inklinaatio: 15,5°
Nousevan solmun pituus: 261,0°
Perihelin argumentti: 161,4°
Keskianomalia: 2,4°
Epookki: 2020 DEC 12 20:20:51
orbit plot

Ei-interaktiivinen kuvaaja | Interaktiivinen kuvaaja

position vs time
speed and acceleration