🇳🇴 🇬🇧 🇩🇪 🇨🇿 🇫🇮

Meteor, poloha: Sistranda 2020-12-12 23:29:10 UTC

Soubor KML  |  InteraktivnĂ­ mapa

Mapa zobrazuje dráhy meteoru. Světlejší čáry ukazují směry od pozorovacích stanic při objevení se meteoru a tmavší čáry, kde byl naposledy viděn. Modrá šipka značí viditelnou dráhu meteoru.

static map
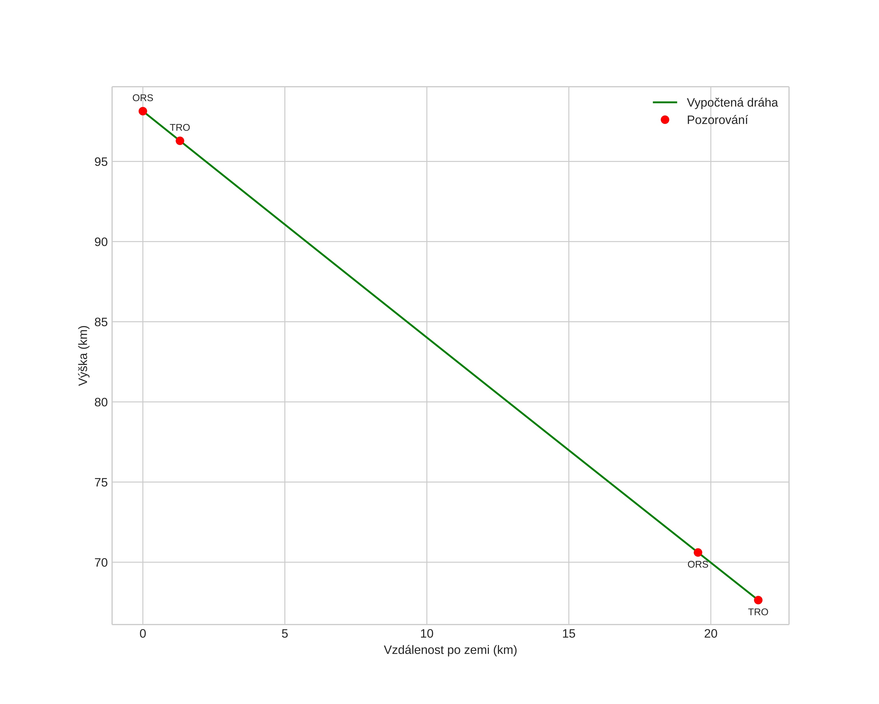
height profile
Atmosférická dráha meteoru:
Počáteční výška: 97,1 km
Konečná výška: 67,6 km
Počáteční poloha: 64,256N 9,508E
Konečná poloha: 64,391N 9,204E
Směr: 315,8°
Sklon: 54,6°
VstupnĂ­ rychlost: 35,6 km/s
Rektascenze radiantu: 07:30 (112,5°)
Deklinace radiantu: 32,8°
MeteorickĂ˝ roj: Geminidy
Elementy dráhy meteoroidu:
Vzdálenost v periheliu: 0,148 AU
Excentricita: 0,887
Sklon dráhy: 23,3°
Délka vzestupného uzlu: 261,1°
Argument perihelia: 323,9°
Střední anomálie: 334,9°
Epocha: 2020 DEC 12 23:29:10
orbit plot

NeinteraktivnĂ­ graf | InteraktivnĂ­ graf

position vs time
speed and acceleration