🇳🇴 🇬🇧 🇩🇪 🇨🇿 🇫🇮

Meteor Sistrandan yllä 2020-12-12 23:29:10 UTC

KML-tiedosto  |  Interaktiivinen kartta

Kartta näyttää meteorin suuntahavainnot. Vaaleammat viivat näyttävät suunnat havaintoasemilta meteorin ilmestyessä, ja tummemmat viivat näyttävät, missä se viimeksi nähtiin. Sininen nuoli näyttää meteorin näkyvän lennon.

static map
height profile
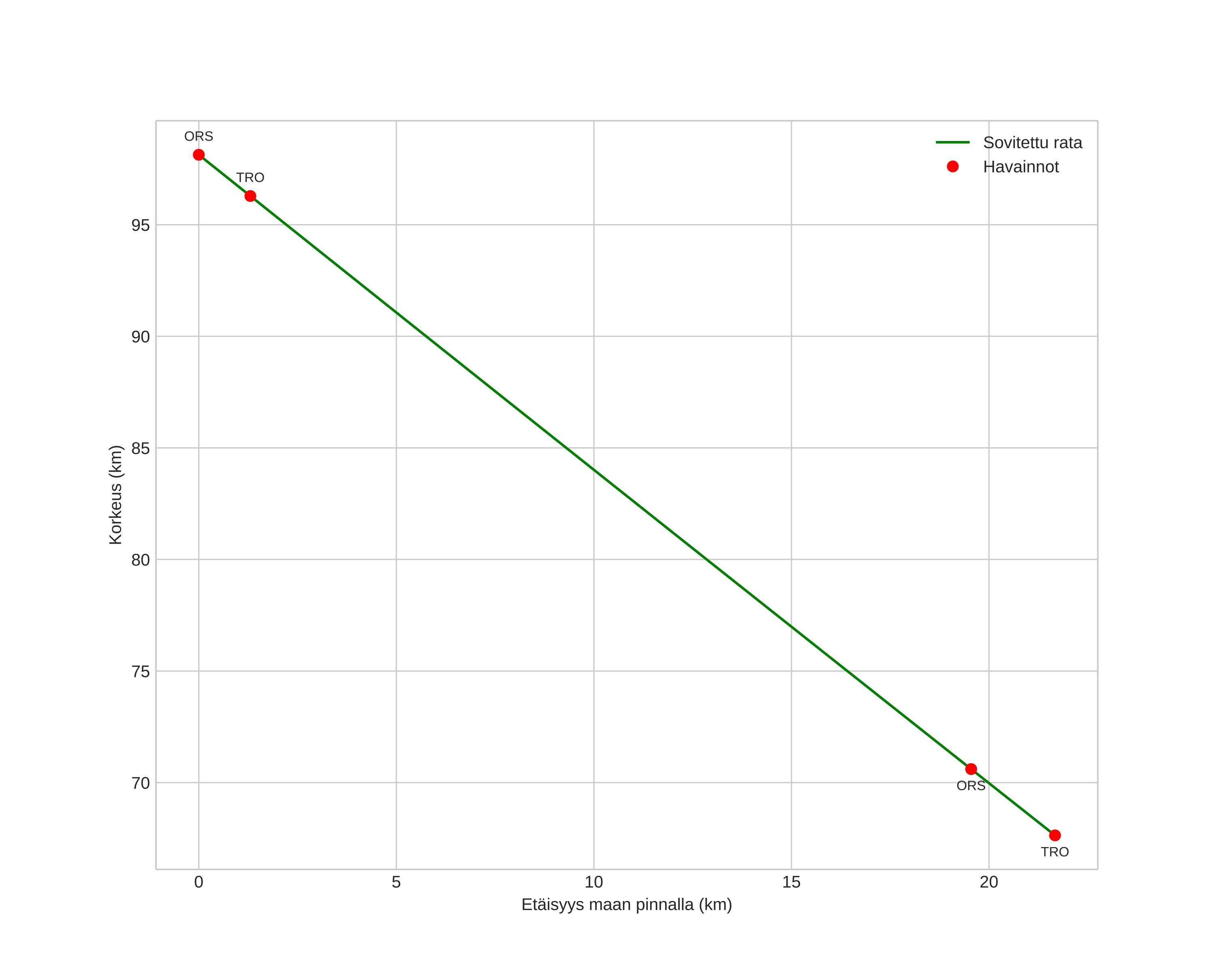
Meteorin ilmakehärata:
Alkukorkeus: 97,1 km
Loppukorkeus: 67,6 km
Alkupiste: 64,256N 9,508E
Loppupiste: 64,391N 9,204E
Suunta: 315,8°
Kallistuskulma: 54,6°
Tulonopeus: 35,6 km/s
Radiantin R,A,: 07:30 (112,5°)
Radiantin Dekl,: 32,8°
Meteoriparvi: Geminidit
Meteoroidin rataelementit:
Perihelietäisyys: 0,148 AU
Eksentrisyys: 0,887
Inklinaatio: 23,3°
Nousevan solmun pituus: 261,1°
Perihelin argumentti: 323,9°
Keskianomalia: 334,9°
Epookki: 2020 DEC 12 23:29:10
orbit plot

Ei-interaktiivinen kuvaaja | Interaktiivinen kuvaaja

position vs time
speed and acceleration