🇳🇴 🇬🇧 🇩🇪 🇨🇿 🇫🇮

Meteor, poloha: Fedje 2020-12-13 02:03:03 UTC

Soubor KML  |  InteraktivnĂ­ mapa

Mapa zobrazuje dráhy meteoru. Světlejší čáry ukazují směry od pozorovacích stanic při objevení se meteoru a tmavší čáry, kde byl naposledy viděn. Modrá šipka značí viditelnou dráhu meteoru.

static map
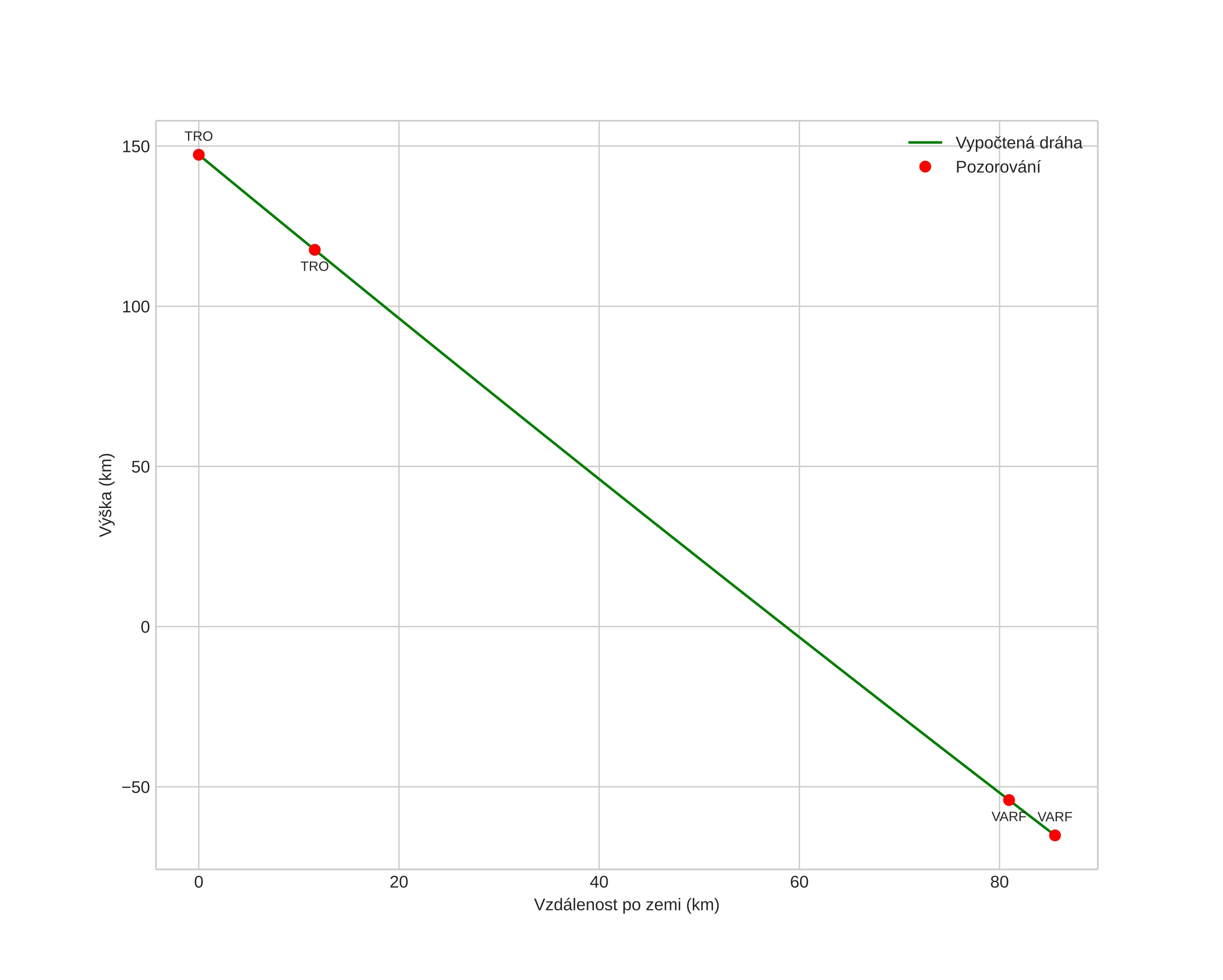
height profile
Atmosférická dráha meteoru:
Počáteční výška: 147,3 km
Konečná výška: -65,2 km
Počáteční poloha: 60,785N 5,678E
Konečná poloha: 60,876N 4,110E
Směr: 277,5°
Sklon: 68,1°
VstupnĂ­ rychlost: 45,2 km/s
Rektascenze radiantu: 10:19 (155,0°)
Deklinace radiantu: 51,7°
MeteorickĂ˝ roj: sporadickĂ˝
Elementy dráhy meteoroidu:
Vzdálenost v periheliu: 0,488 AU
Excentricita: 0,639
Sklon dráhy: 85,1°
Délka vzestupného uzlu: 261,2°
Argument perihelia: 287,1°
Střední anomálie: 328,2°
Epocha: 2020 DEC 13 02:03:03
orbit plot

NeinteraktivnĂ­ graf | InteraktivnĂ­ graf

position vs time
speed and acceleration