🇳🇴 🇬🇧 🇩🇪 🇨🇿 🇫🇮

Meteor Fedjen yllä 2020-12-13 02:03:03 UTC

KML-tiedosto  |  Interaktiivinen kartta

Kartta näyttää meteorin suuntahavainnot. Vaaleammat viivat näyttävät suunnat havaintoasemilta meteorin ilmestyessä, ja tummemmat viivat näyttävät, missä se viimeksi nähtiin. Sininen nuoli näyttää meteorin näkyvän lennon.

static map
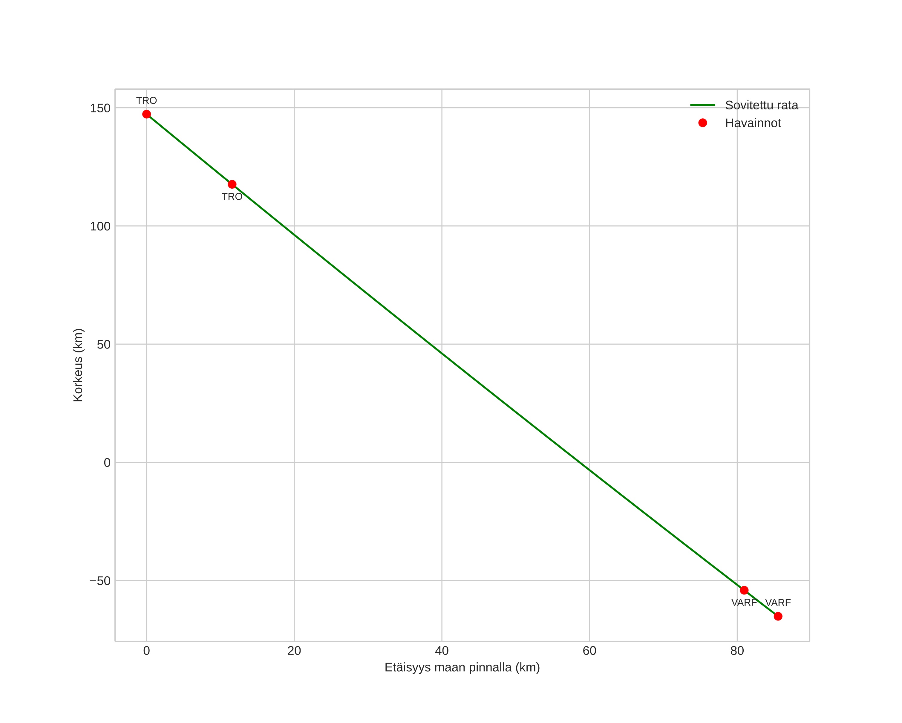
height profile
Meteorin ilmakehärata:
Alkukorkeus: 147,3 km
Loppukorkeus: -65,2 km
Alkupiste: 60,785N 5,678E
Loppupiste: 60,876N 4,110E
Suunta: 277,5°
Kallistuskulma: 68,1°
Tulonopeus: 45,2 km/s
Radiantin R,A,: 10:19 (155,0°)
Radiantin Dekl,: 51,7°
Meteoriparvi: Sporadinen
Meteoroidin rataelementit:
Perihelietäisyys: 0,488 AU
Eksentrisyys: 0,639
Inklinaatio: 85,1°
Nousevan solmun pituus: 261,2°
Perihelin argumentti: 287,1°
Keskianomalia: 328,2°
Epookki: 2020 DEC 13 02:03:03
orbit plot

Ei-interaktiivinen kuvaaja | Interaktiivinen kuvaaja

position vs time
speed and acceleration