🇳🇴 🇬🇧 🇩🇪 🇨🇿 🇫🇮

Meteor, poloha: Sistranda 2020-12-13 02:37:36 UTC

Soubor KML  |  InteraktivnĂ­ mapa

Mapa zobrazuje dráhy meteoru. Světlejší čáry ukazují směry od pozorovacích stanic při objevení se meteoru a tmavší čáry, kde byl naposledy viděn. Modrá šipka značí viditelnou dráhu meteoru.

static map
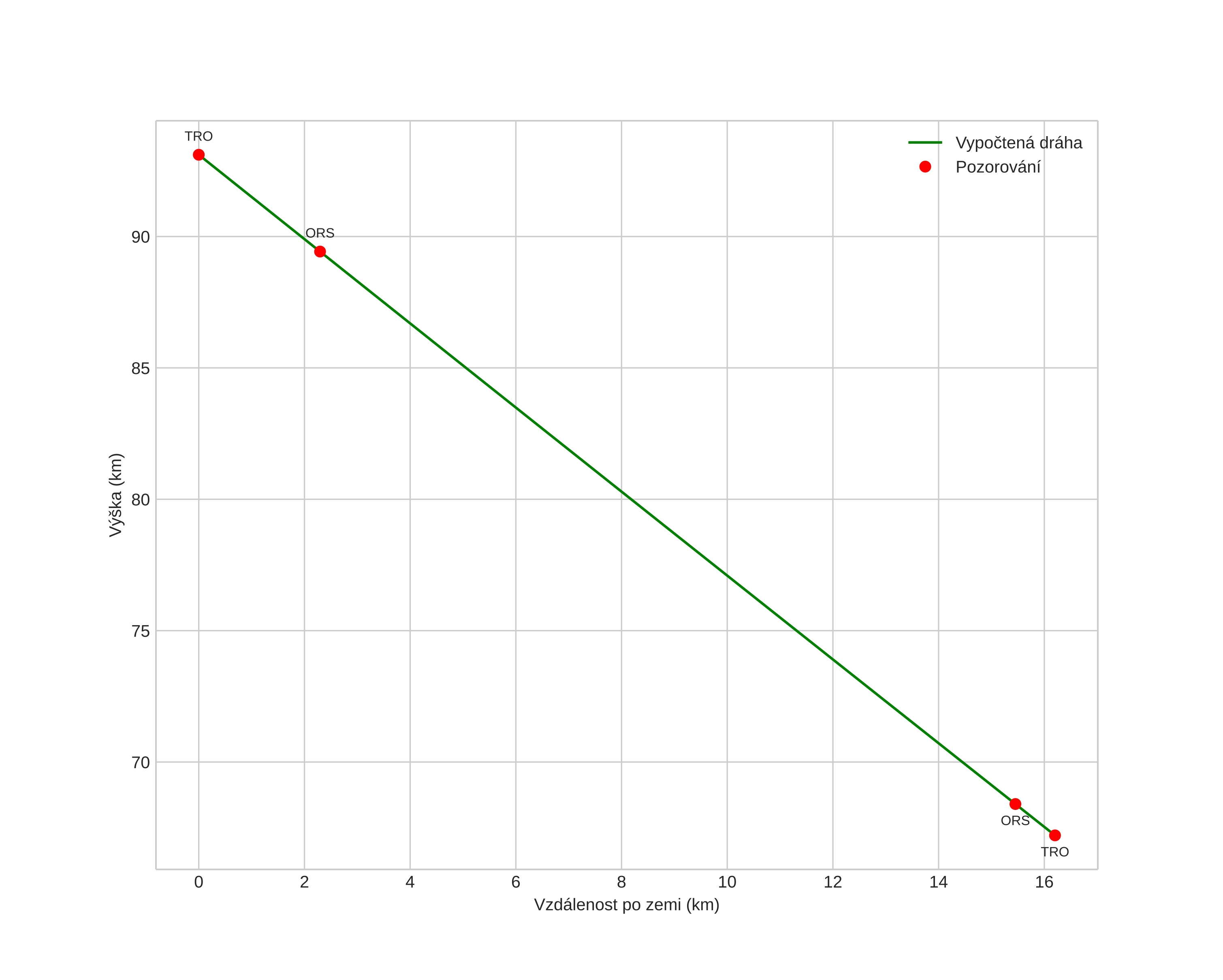
height profile
Atmosférická dráha meteoru:
Počáteční výška: 92,4 km
Konečná výška: 66,6 km
Počáteční poloha: 64,190N 8,344E
Konečná poloha: 64,322N 8,494E
Směr: 26,4°
Sklon: 57,6°
VstupnĂ­ rychlost: 36,3 km/s
Rektascenze radiantu: 07:29 (112,5°)
Deklinace radiantu: 32,6°
MeteorickĂ˝ roj: Geminidy
Elementy dráhy meteoroidu:
Vzdálenost v periheliu: 0,142 AU
Excentricita: 0,897
Sklon dráhy: 23,9°
Délka vzestupného uzlu: 261,3°
Argument perihelia: 324,0°
Střední anomálie: 337,5°
Epocha: 2020 DEC 13 02:37:36
orbit plot

NeinteraktivnĂ­ graf | InteraktivnĂ­ graf

position vs time
speed and acceleration