🇳🇴 🇬🇧 🇩🇪 🇨🇿 🇫🇮

Meteor Sistrandan yllä 2020-12-13 02:37:36 UTC

KML-tiedosto  |  Interaktiivinen kartta

Kartta näyttää meteorin suuntahavainnot. Vaaleammat viivat näyttävät suunnat havaintoasemilta meteorin ilmestyessä, ja tummemmat viivat näyttävät, missä se viimeksi nähtiin. Sininen nuoli näyttää meteorin näkyvän lennon.

static map
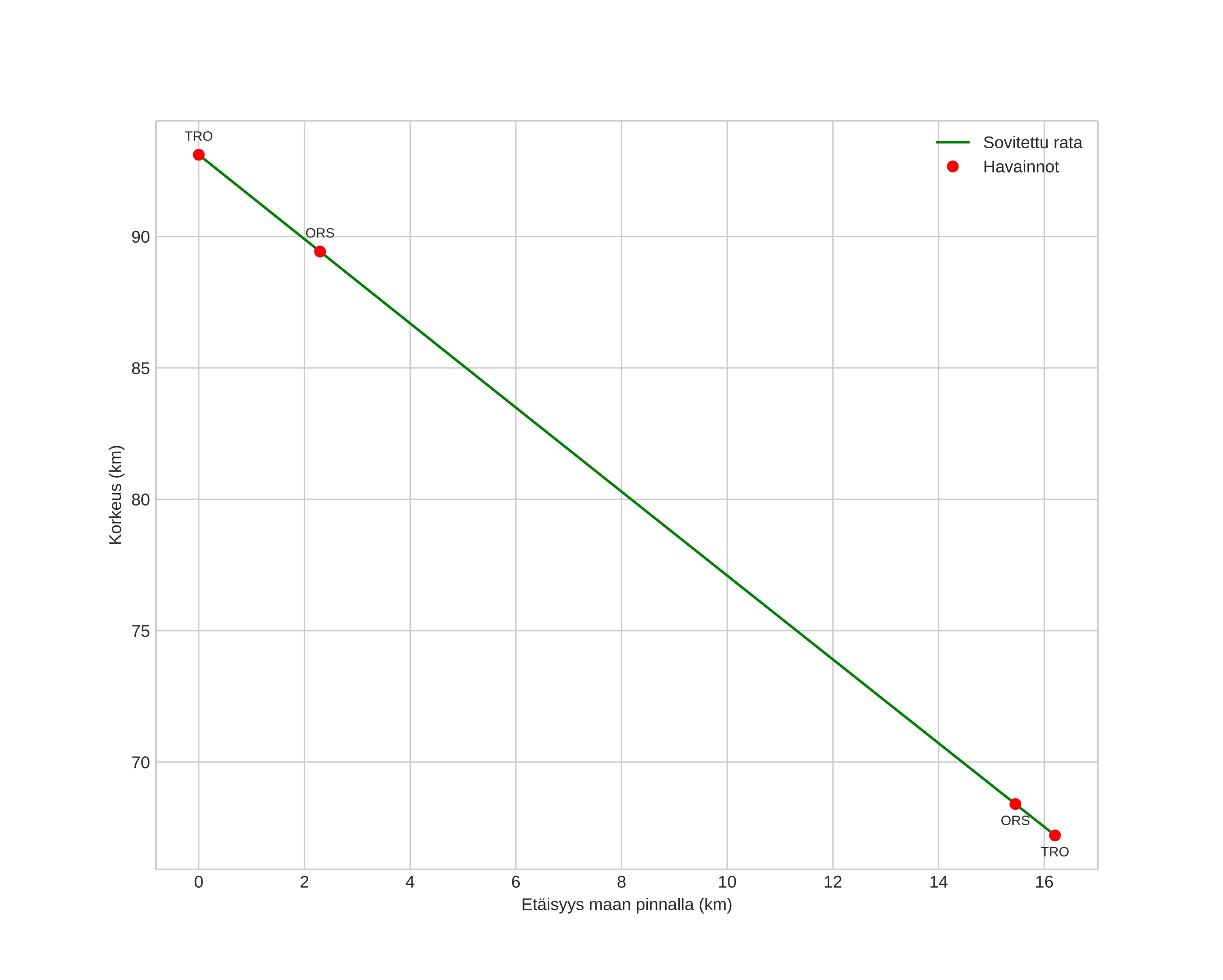
height profile
Meteorin ilmakehärata:
Alkukorkeus: 92,4 km
Loppukorkeus: 66,6 km
Alkupiste: 64,190N 8,344E
Loppupiste: 64,322N 8,494E
Suunta: 26,4°
Kallistuskulma: 57,6°
Tulonopeus: 36,3 km/s
Radiantin R,A,: 07:29 (112,5°)
Radiantin Dekl,: 32,6°
Meteoriparvi: Geminidit
Meteoroidin rataelementit:
Perihelietäisyys: 0,142 AU
Eksentrisyys: 0,897
Inklinaatio: 23,9°
Nousevan solmun pituus: 261,3°
Perihelin argumentti: 324,0°
Keskianomalia: 337,5°
Epookki: 2020 DEC 13 02:37:36
orbit plot

Ei-interaktiivinen kuvaaja | Interaktiivinen kuvaaja

position vs time
speed and acceleration