🇳🇴 🇬🇧 🇩🇪 🇨🇿 🇫🇮

Meteor, poloha: Burfjord 2020-12-13 05:31:29 UTC

Soubor KML  |  InteraktivnĂ­ mapa

Mapa zobrazuje dráhy meteoru. Světlejší čáry ukazují směry od pozorovacích stanic při objevení se meteoru a tmavší čáry, kde byl naposledy viděn. Modrá šipka značí viditelnou dráhu meteoru.

static map
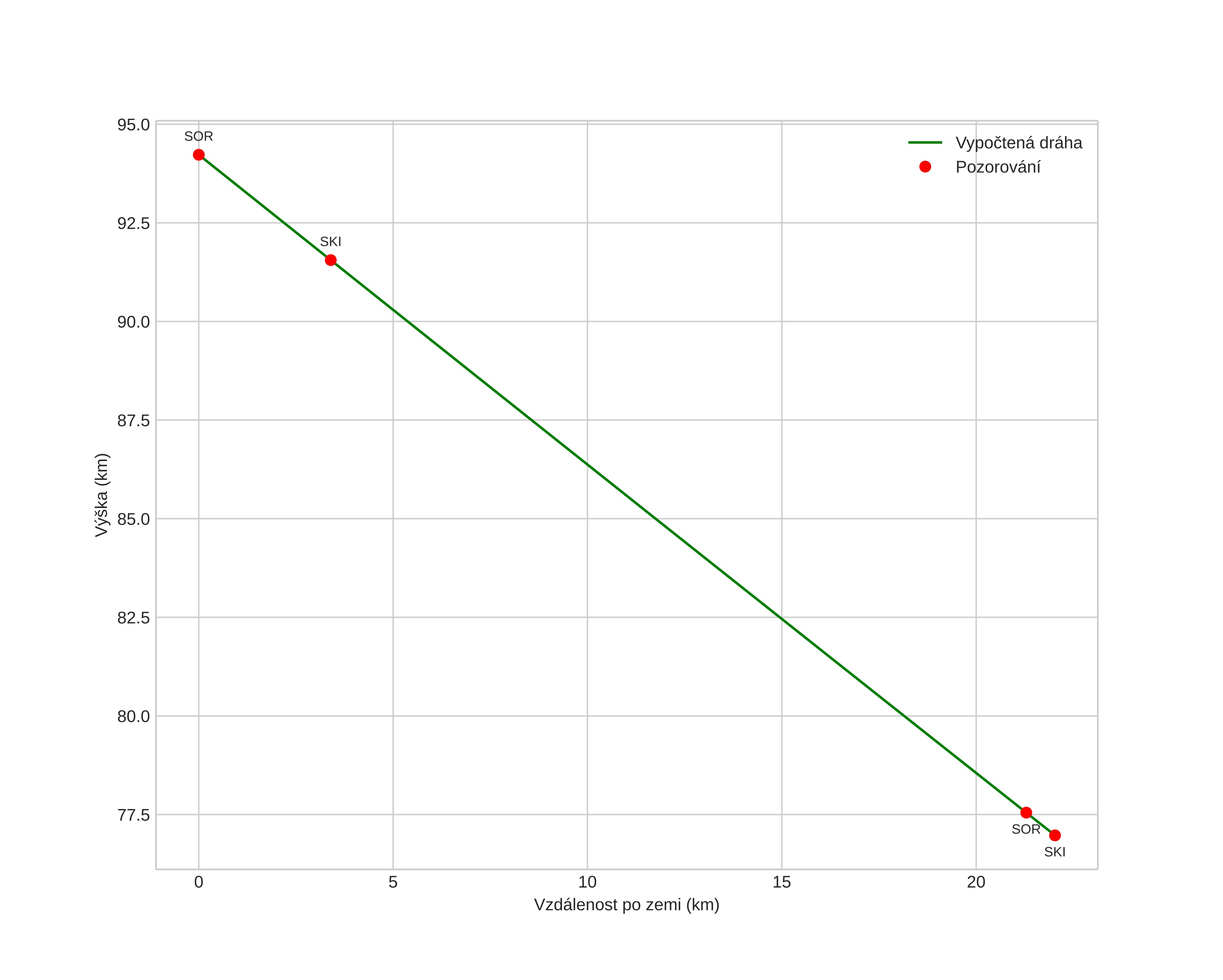
height profile
Atmosférická dráha meteoru:
Počáteční výška: 94,7 km
Konečná výška: 76,8 km
Počáteční poloha: 69,249N 21,124E
Konečná poloha: 69,259N 21,682E
Směr: 87,0°
Sklon: 39,1°
VstupnĂ­ rychlost: 35,3 km/s
Rektascenze radiantu: 07:35 (113,8°)
Deklinace radiantu: 33,8°
MeteorickĂ˝ roj: Geminidy
Elementy dráhy meteoroidu:
Vzdálenost v periheliu: 0,150 AU
Excentricita: 0,882
Sklon dráhy: 25,7°
Délka vzestupného uzlu: 261,4°
Argument perihelia: 324,1°
Střední anomálie: 333,5°
Epocha: 2020 DEC 13 05:31:29
orbit plot

NeinteraktivnĂ­ graf | InteraktivnĂ­ graf

position vs time
speed and acceleration