🇳🇴 🇬🇧 🇩🇪 🇨🇿 🇫🇮

Meteor Burfjordin yllä 2020-12-13 05:31:29 UTC

KML-tiedosto  |  Interaktiivinen kartta

Kartta näyttää meteorin suuntahavainnot. Vaaleammat viivat näyttävät suunnat havaintoasemilta meteorin ilmestyessä, ja tummemmat viivat näyttävät, missä se viimeksi nähtiin. Sininen nuoli näyttää meteorin näkyvän lennon.

static map
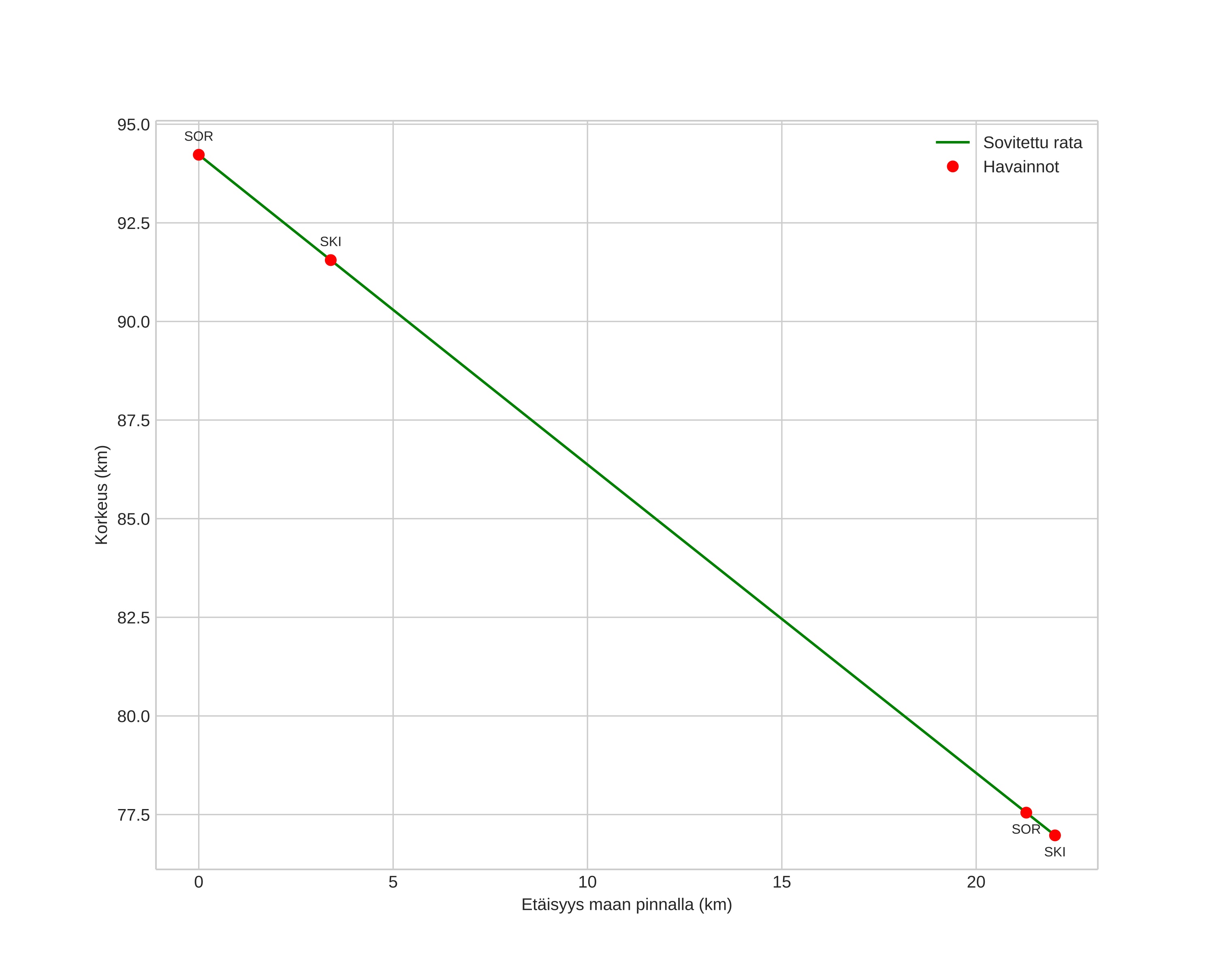
height profile
Meteorin ilmakehärata:
Alkukorkeus: 94,7 km
Loppukorkeus: 76,8 km
Alkupiste: 69,249N 21,124E
Loppupiste: 69,259N 21,682E
Suunta: 87,0°
Kallistuskulma: 39,1°
Tulonopeus: 35,3 km/s
Radiantin R,A,: 07:35 (113,8°)
Radiantin Dekl,: 33,8°
Meteoriparvi: Geminidit
Meteoroidin rataelementit:
Perihelietäisyys: 0,150 AU
Eksentrisyys: 0,882
Inklinaatio: 25,7°
Nousevan solmun pituus: 261,4°
Perihelin argumentti: 324,1°
Keskianomalia: 333,5°
Epookki: 2020 DEC 13 05:31:29
orbit plot

Ei-interaktiivinen kuvaaja | Interaktiivinen kuvaaja

position vs time
speed and acceleration