🇳🇴 🇬🇧 🇩🇪 🇨🇿 🇫🇮

Meteor, poloha: Stranda 2020-12-13 05:56:43 UTC

Ørsta – 1
Ørsta – 1
Trondheim – 1
Trondheim – 1

Soubor KML  | Interaktivní mapa

map

Mapa zobrazuje dráhy meteoru. Světlejší čáry ukazují směry od pozorovacích stanic při objevení se meteoru a tmavší čáry, kde byl naposledy viděn. Modrá šipka značí viditelnou dráhu meteoru.

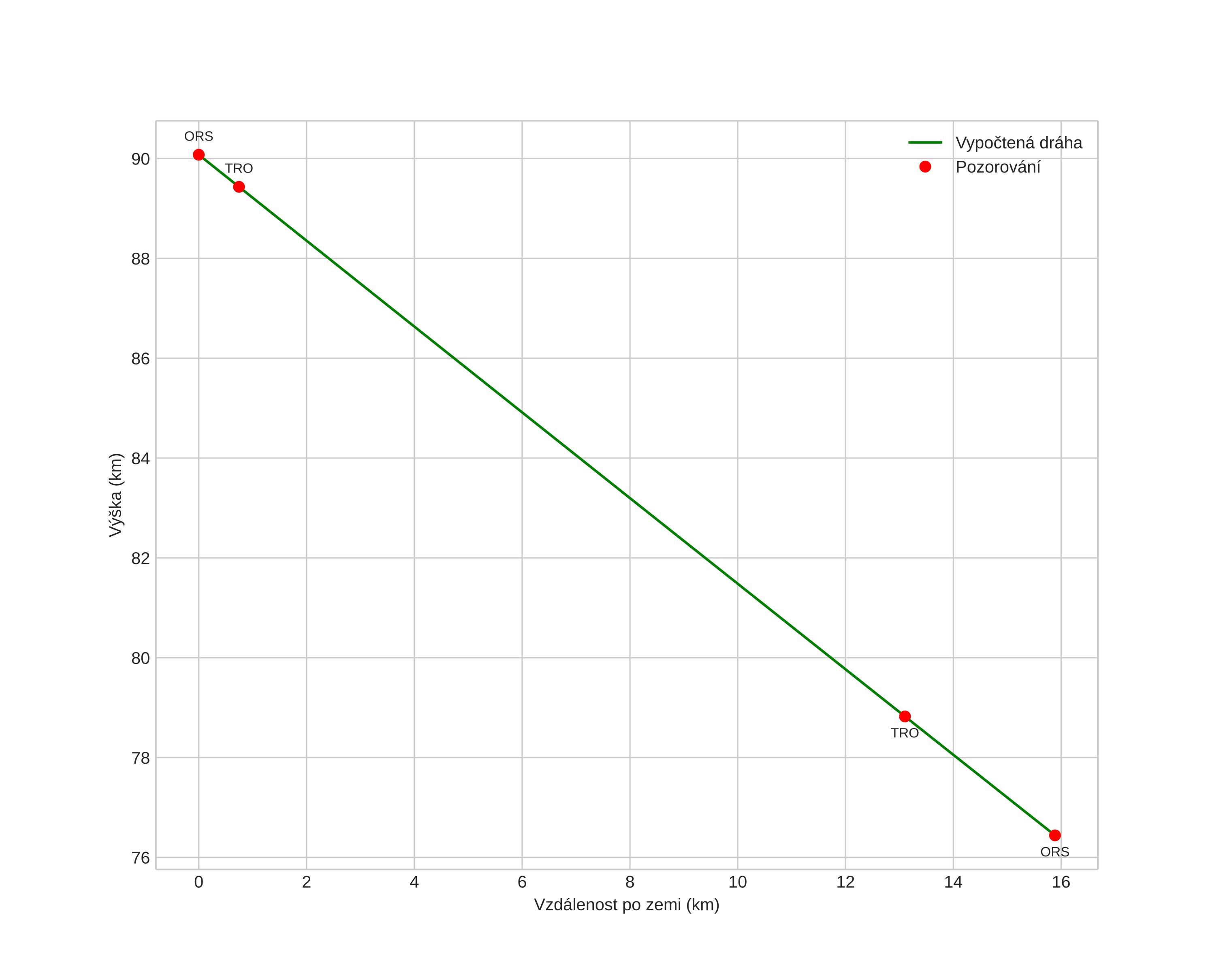
height profile
Atmosférická dráha meteoru:
Počáteční výška: 90,3 km
Konečná výška: 76,0 km
Počáteční poloha: 62,075N 6,798E
Konečná poloha: 62,087N 7,095E
Směr: 85,3°
Sklon: 42,6°
Vstupní rychlost: 36,1 km/s
Rektascenze radiantu: 07:35 (113,8°)
Deklinace radiantu: 33,5°
Meteorický roj: Geminidy
Elementy dráhy meteoroidu:
Vzdálenost v periheliu: 0,142 AU
Excentricita: 0,893
Sklon dráhy: 26,5°
Délka vzestupného uzlu: 261,4°
Argument perihelia: 324,5°
Střední anomálie: 335,7°
Epocha: 2020 DEC 13 05:56:43
orbit

Neinteraktivní graf | Interaktivní graf

position vs time
speed & acceleration