🇳🇴 🇬🇧 🇩🇪 🇨🇿 🇫🇮

Meteor über Stranda 2020-12-13 05:56:43 UTC

Ørsta – 1
Ørsta – 1
Trondheim – 1
Trondheim – 1

KML-Datei  | Interaktive Karte

map

Die Karte zeigt die Peilungen für den Meteor. Die helleren Linien zeigen die Richtungen von den Beobachtungsorten beim Erscheinen des Meteors, und die dunkleren Linien, wo er zuletzt gesehen wurde. Der blaue Pfeil zeigt die sichtbare Bahn des Meteors.

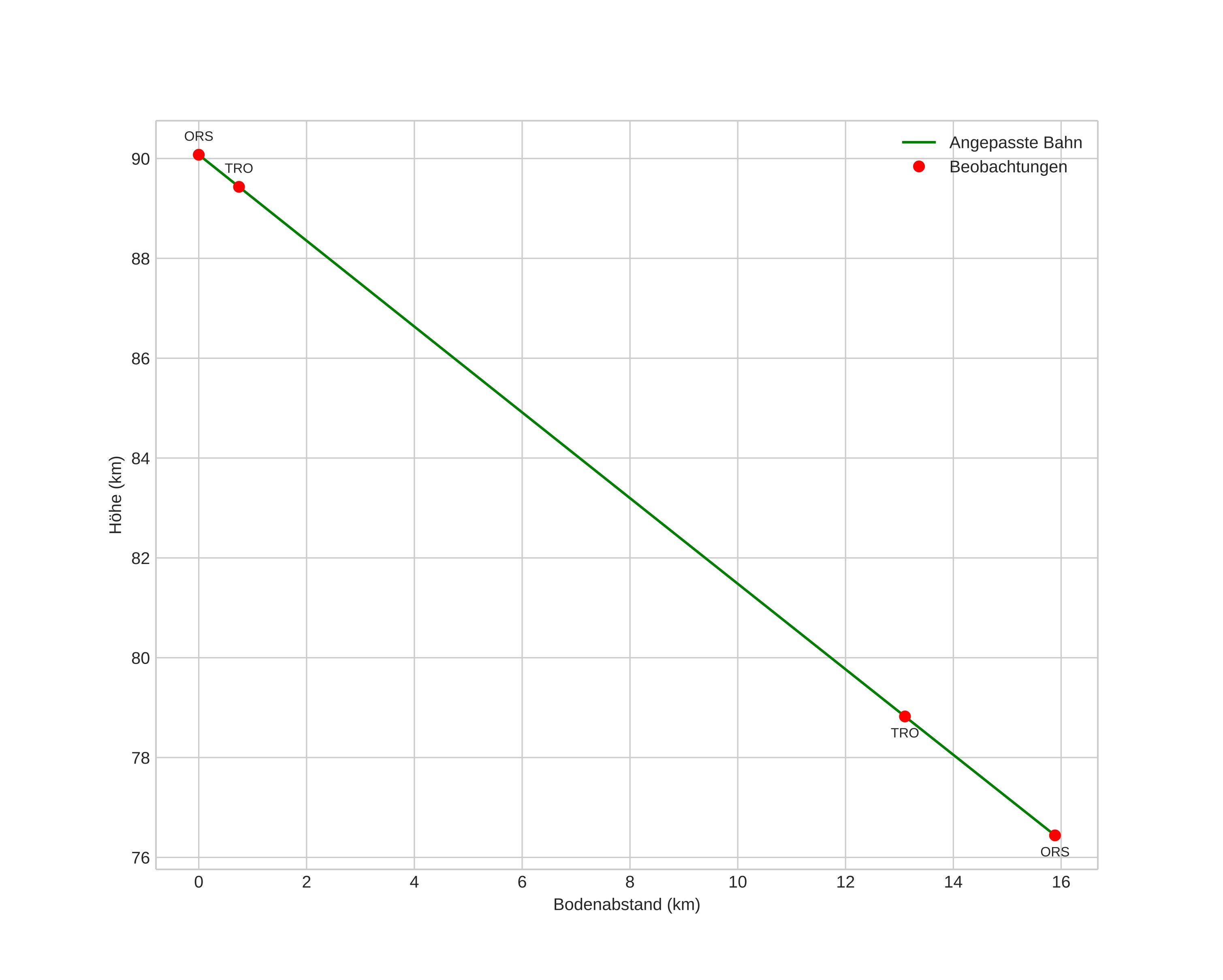
height profile
Atmosphärische Bahn des Meteors:
Anfangshöhe: 90,3 km
Endhöhe: 76,0 km
Startposition: 62,075N 6,798E
Endposition: 62,087N 7,095E
Richtung: 85,3°
Neigungswinkel: 42,6°
Eintrittsgeschwindigkeit: 36,1 km/s
Rektaszension des Radianten: 07:35 (113,8°)
Deklination des Radianten: 33,5°
Meteorstrom: Geminiden
Bahnelemente des Meteoroiden:
Periheldistanz: 0,142 AU
Exzentrizität: 0,893
Inklination: 26,5°
Länge des aufsteigenden Knotens: 261,4°
Argument des Perihels: 324,5°
Mittlere Anomalie: 335,7°
Epoche: 2020 DEC 13 05:56:43
orbit

Nicht-interaktives Diagramm | Interaktives Diagramm

position vs time
speed & acceleration