🇳🇴 🇬🇧 🇩🇪 🇨🇿 🇫🇮

Meteor, poloha: Rovaniemi 2020-12-13 06:10:48 UTC

Soubor KML  |  InteraktivnĂ­ mapa

Mapa zobrazuje dráhy meteoru. Světlejší čáry ukazují směry od pozorovacích stanic při objevení se meteoru a tmavší čáry, kde byl naposledy viděn. Modrá šipka značí viditelnou dráhu meteoru.

static map
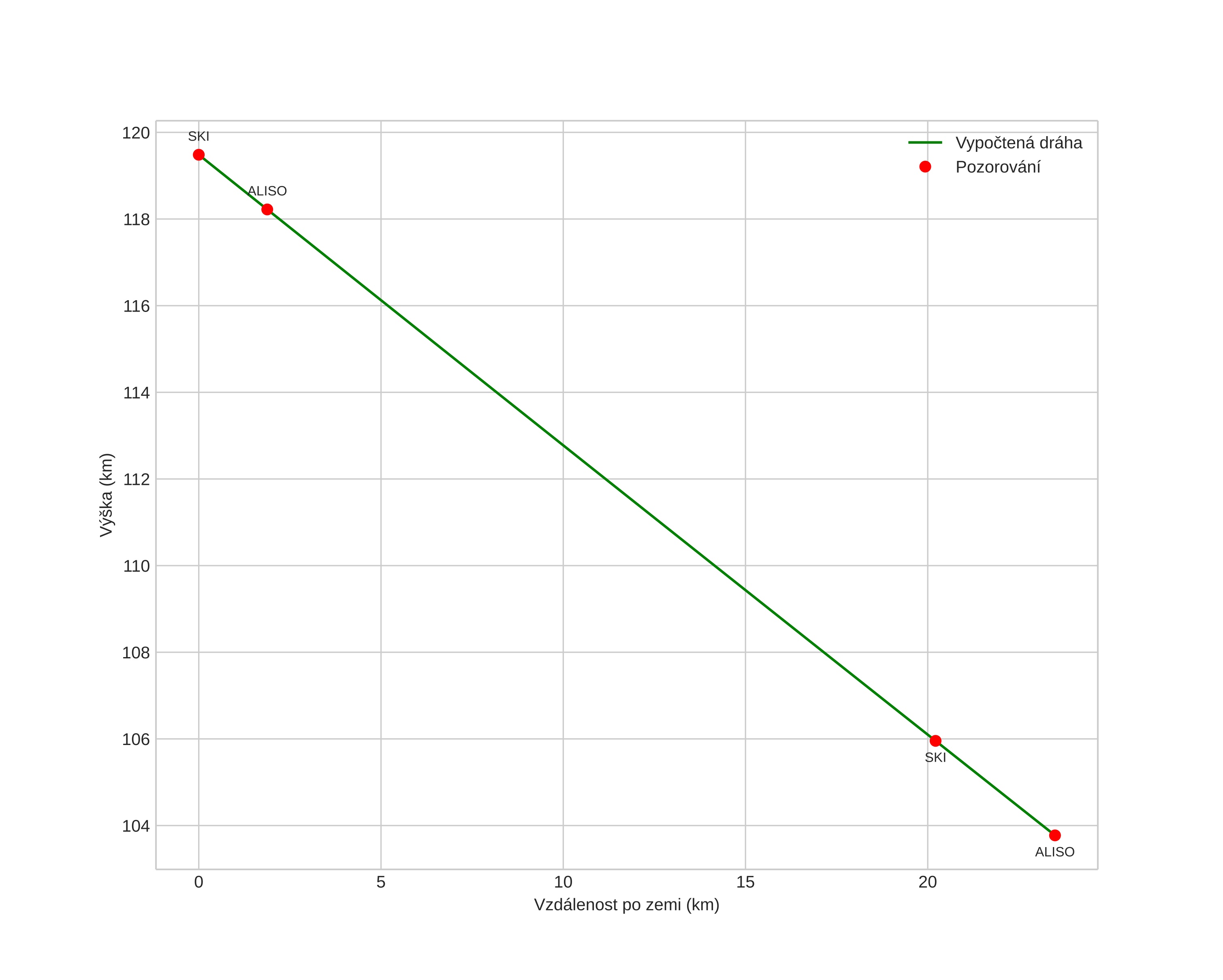
height profile
Atmosférická dráha meteoru:
Počáteční výška: 121,8 km
Konečná výška: 104,1 km
Počáteční poloha: 67,004N 24,702E
Konečná poloha: 66,966N 25,293E
Směr: 98,9°
Sklon: 34,2°
VstupnĂ­ rychlost: 47,0 km/s
Rektascenze radiantu: 07:44 (116,1°)
Deklinace radiantu: 33,7°
MeteorickĂ˝ roj: sporadickĂ˝
Elementy dráhy meteoroidu:
Vzdálenost v periheliu: 0,083 AU
Excentricita: 0,986
Sklon dráhy: 52,4°
Délka vzestupného uzlu: 261,4°
Argument perihelia: 327,7°
Střední anomálie: 357,9°
Epocha: 2020 DEC 13 06:10:48
orbit plot

NeinteraktivnĂ­ graf | InteraktivnĂ­ graf

position vs time
speed and acceleration