🇳🇴 🇬🇧 🇩🇪 🇨🇿 🇫🇮

Meteor Rovaniemin yllä 2020-12-13 06:10:48 UTC

KML-tiedosto  |  Interaktiivinen kartta

Kartta näyttää meteorin suuntahavainnot. Vaaleammat viivat näyttävät suunnat havaintoasemilta meteorin ilmestyessä, ja tummemmat viivat näyttävät, missä se viimeksi nähtiin. Sininen nuoli näyttää meteorin näkyvän lennon.

static map
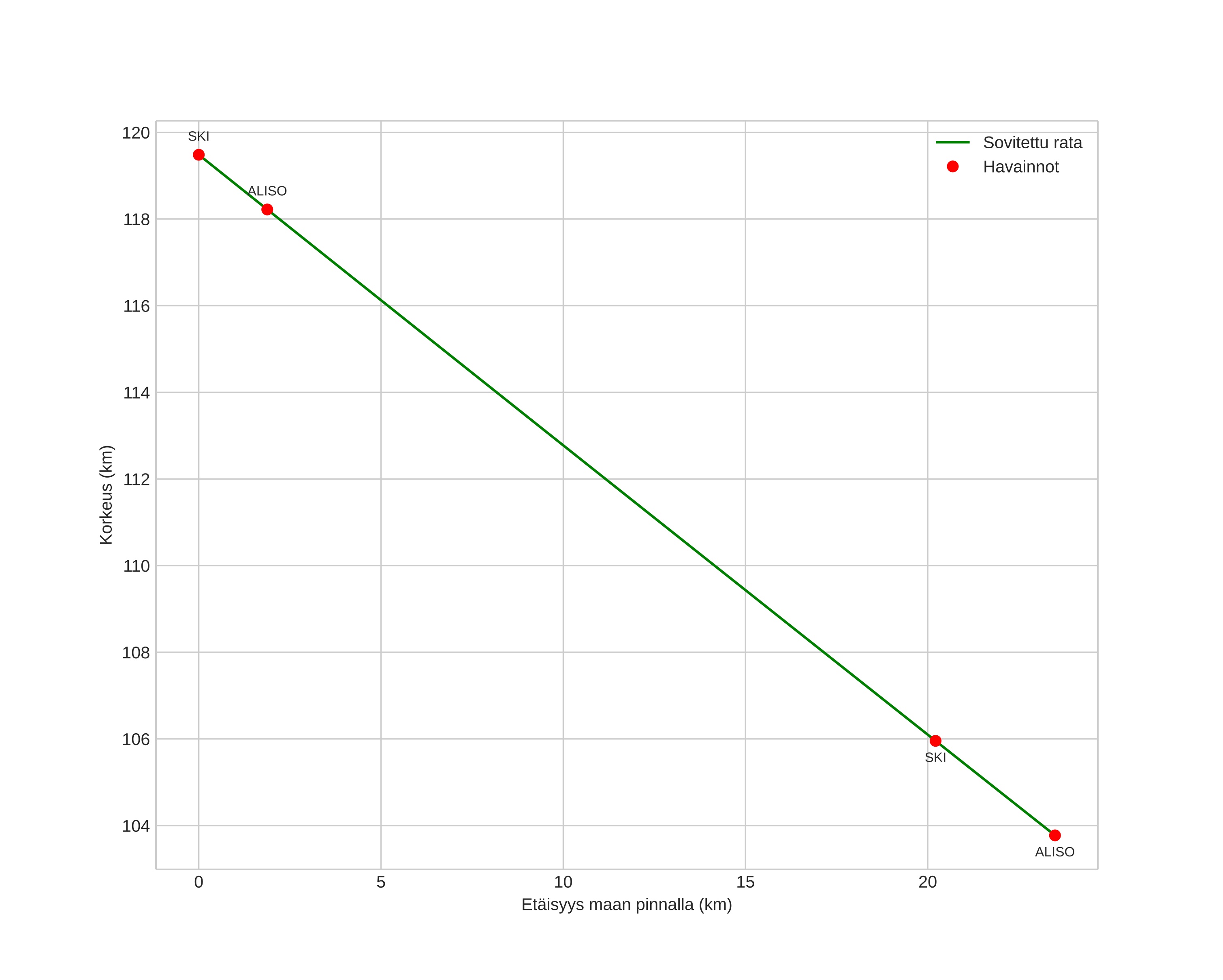
height profile
Meteorin ilmakehärata:
Alkukorkeus: 121,8 km
Loppukorkeus: 104,1 km
Alkupiste: 67,004N 24,702E
Loppupiste: 66,966N 25,293E
Suunta: 98,9°
Kallistuskulma: 34,2°
Tulonopeus: 47,0 km/s
Radiantin R,A,: 07:44 (116,1°)
Radiantin Dekl,: 33,7°
Meteoriparvi: Sporadinen
Meteoroidin rataelementit:
Perihelietäisyys: 0,083 AU
Eksentrisyys: 0,986
Inklinaatio: 52,4°
Nousevan solmun pituus: 261,4°
Perihelin argumentti: 327,7°
Keskianomalia: 357,9°
Epookki: 2020 DEC 13 06:10:48
orbit plot

Ei-interaktiivinen kuvaaja | Interaktiivinen kuvaaja

position vs time
speed and acceleration