🇳🇴 🇬🇧 🇩🇪 🇨🇿 🇫🇮

Meteor, poloha: Skjervøy 2020-12-13 16:51:35 UTC

Soubor KML  |  InteraktivnĂ­ mapa

Mapa zobrazuje dráhy meteoru. Světlejší čáry ukazují směry od pozorovacích stanic při objevení se meteoru a tmavší čáry, kde byl naposledy viděn. Modrá šipka značí viditelnou dráhu meteoru.

static map
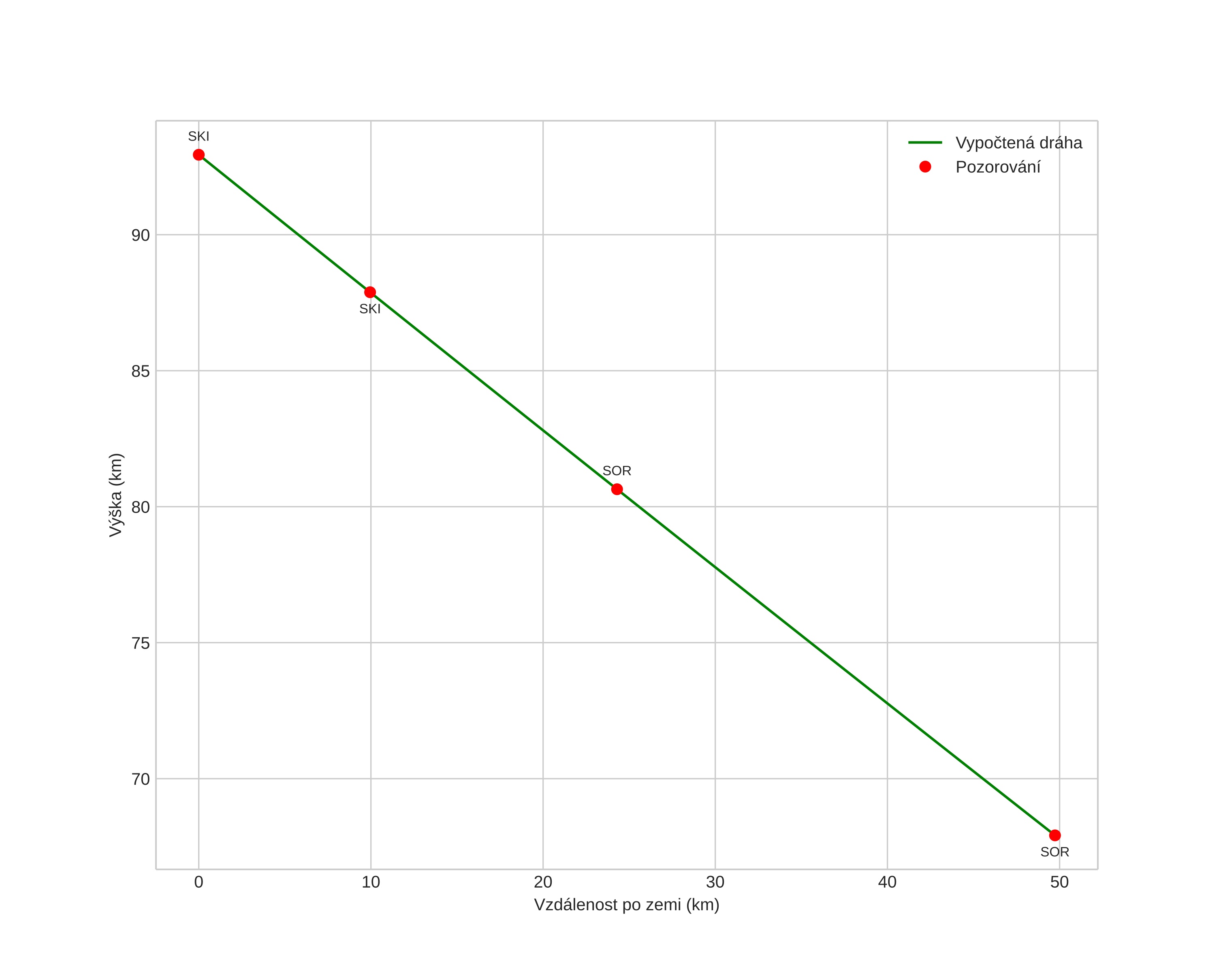
height profile
Atmosférická dráha meteoru:
Počáteční výška: 92,5 km
Konečná výška: 62,3 km
Počáteční poloha: 72,692N 21,950E
Konečná poloha: 72,286N 20,456E
Směr: 228,6°
Sklon: 24,2°
VstupnĂ­ rychlost: 40,5 km/s
Rektascenze radiantu: 08:05 (121,4°)
Deklinace radiantu: 33,5°
MeteorickĂ˝ roj: Geminidy
Elementy dráhy meteoroidu:
Vzdálenost v periheliu: 0,086 AU
Excentricita: 0,935
Sklon dráhy: 44,7°
Délka vzestupného uzlu: 261,9°
Argument perihelia: 332,7°
Střední anomálie: 337,6°
Epocha: 2020 DEC 13 16:51:35
orbit plot

NeinteraktivnĂ­ graf | InteraktivnĂ­ graf

position vs time
speed and acceleration