🇳🇴 🇬🇧 🇩🇪 🇨🇿 🇫🇮

Meteor Skjervøyn yllä 2020-12-13 16:51:35 UTC

KML-tiedosto  |  Interaktiivinen kartta

Kartta näyttää meteorin suuntahavainnot. Vaaleammat viivat näyttävät suunnat havaintoasemilta meteorin ilmestyessä, ja tummemmat viivat näyttävät, missä se viimeksi nähtiin. Sininen nuoli näyttää meteorin näkyvän lennon.

static map
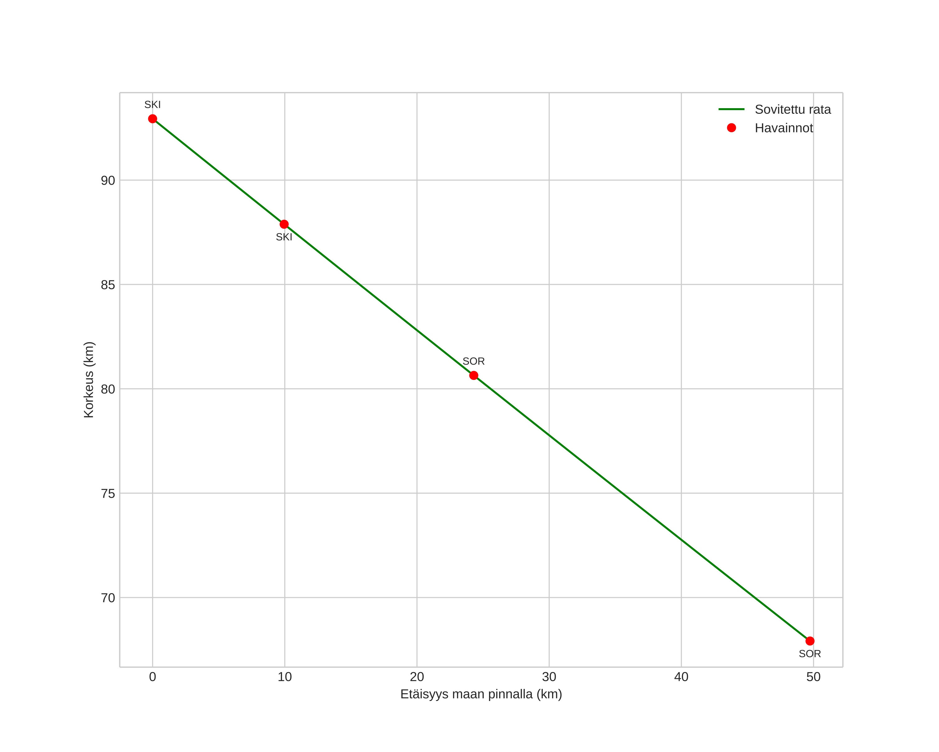
height profile
Meteorin ilmakehärata:
Alkukorkeus: 92,5 km
Loppukorkeus: 62,3 km
Alkupiste: 72,692N 21,950E
Loppupiste: 72,286N 20,456E
Suunta: 228,6°
Kallistuskulma: 24,2°
Tulonopeus: 40,5 km/s
Radiantin R,A,: 08:05 (121,4°)
Radiantin Dekl,: 33,5°
Meteoriparvi: Geminidit
Meteoroidin rataelementit:
Perihelietäisyys: 0,086 AU
Eksentrisyys: 0,935
Inklinaatio: 44,7°
Nousevan solmun pituus: 261,9°
Perihelin argumentti: 332,7°
Keskianomalia: 337,6°
Epookki: 2020 DEC 13 16:51:35
orbit plot

Ei-interaktiivinen kuvaaja | Interaktiivinen kuvaaja

position vs time
speed and acceleration