🇳🇴 🇬🇧 🇩🇪 🇨🇿 🇫🇮

Meteor, poloha: Surnadal 2020-12-14 05:18:15 UTC

Soubor KML  |  InteraktivnĂ­ mapa

Mapa zobrazuje dráhy meteoru. Světlejší čáry ukazují směry od pozorovacích stanic při objevení se meteoru a tmavší čáry, kde byl naposledy viděn. Modrá šipka značí viditelnou dráhu meteoru.

static map
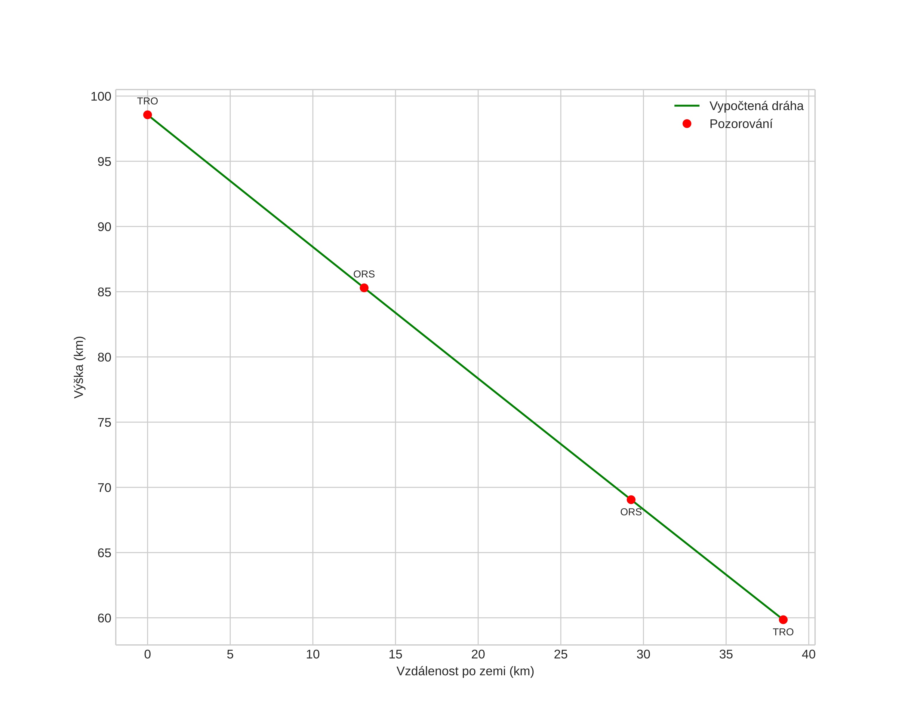
height profile
Atmosférická dráha meteoru:
Počáteční výška: 98,0 km
Konečná výška: 60,0 km
Počáteční poloha: 62,723N 8,018E
Konečná poloha: 62,799N 8,736E
Směr: 76,8°
Sklon: 45,4°
VstupnĂ­ rychlost: 35,8 km/s
Rektascenze radiantu: 07:36 (114,1°)
Deklinace radiantu: 32,8°
MeteorickĂ˝ roj: Geminidy
Elementy dráhy meteoroidu:
Vzdálenost v periheliu: 0,146 AU
Excentricita: 0,891
Sklon dráhy: 24,4°
Délka vzestupného uzlu: 262,4°
Argument perihelia: 323,8°
Střední anomálie: 336,0°
Epocha: 2020 DEC 14 05:18:15
orbit plot

NeinteraktivnĂ­ graf | InteraktivnĂ­ graf

position vs time
speed and acceleration