🇳🇴 🇬🇧 🇩🇪 🇨🇿 🇫🇮

Meteor Surnadalin yllä 2020-12-14 05:18:15 UTC

KML-tiedosto  |  Interaktiivinen kartta

Kartta näyttää meteorin suuntahavainnot. Vaaleammat viivat näyttävät suunnat havaintoasemilta meteorin ilmestyessä, ja tummemmat viivat näyttävät, missä se viimeksi nähtiin. Sininen nuoli näyttää meteorin näkyvän lennon.

static map
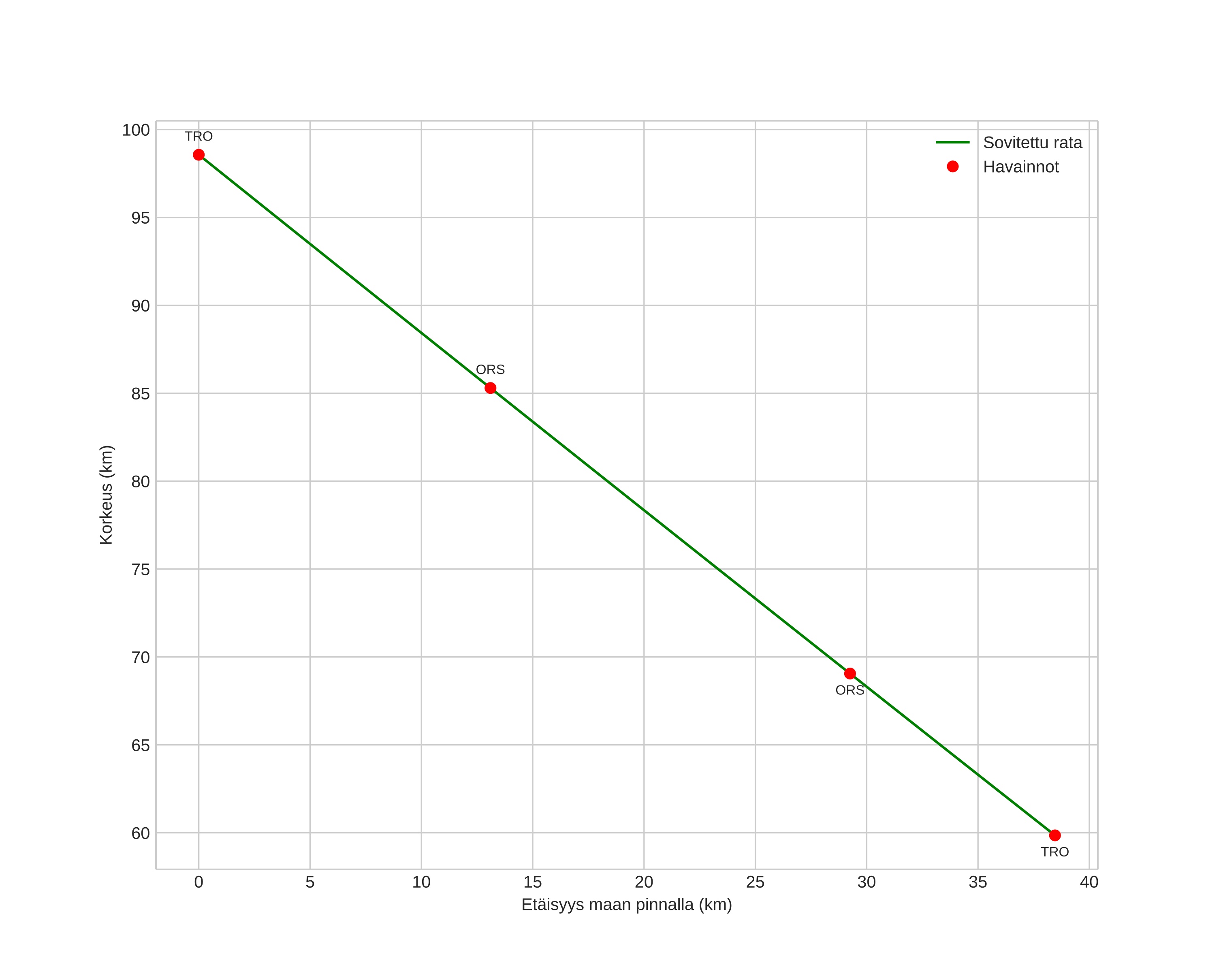
height profile
Meteorin ilmakehärata:
Alkukorkeus: 98,0 km
Loppukorkeus: 60,0 km
Alkupiste: 62,723N 8,018E
Loppupiste: 62,799N 8,736E
Suunta: 76,8°
Kallistuskulma: 45,4°
Tulonopeus: 35,8 km/s
Radiantin R,A,: 07:36 (114,1°)
Radiantin Dekl,: 32,8°
Meteoriparvi: Geminidit
Meteoroidin rataelementit:
Perihelietäisyys: 0,146 AU
Eksentrisyys: 0,891
Inklinaatio: 24,4°
Nousevan solmun pituus: 262,4°
Perihelin argumentti: 323,8°
Keskianomalia: 336,0°
Epookki: 2020 DEC 14 05:18:15
orbit plot

Ei-interaktiivinen kuvaaja | Interaktiivinen kuvaaja

position vs time
speed and acceleration