🇳🇴 🇬🇧 🇩🇪 🇨🇿 🇫🇮

Meteor, poloha: Skagen 2020-12-18 00:04:15 UTC

Soubor KML  |  InteraktivnĂ­ mapa

Mapa zobrazuje dráhy meteoru. Světlejší čáry ukazují směry od pozorovacích stanic při objevení se meteoru a tmavší čáry, kde byl naposledy viděn. Modrá šipka značí viditelnou dráhu meteoru.

static map
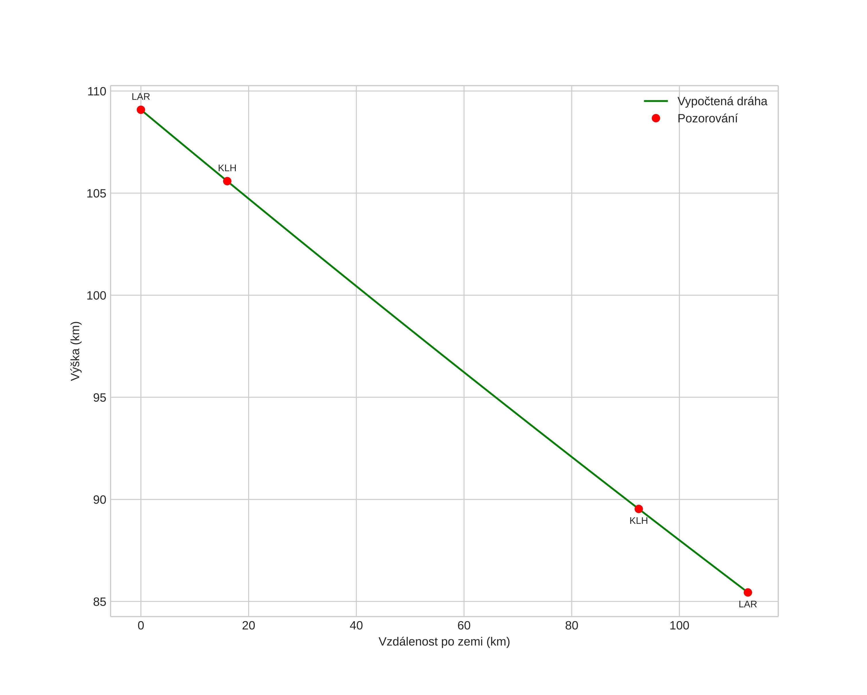
height profile
Atmosférická dráha meteoru:
Počáteční výška: 106,0 km
Konečná výška: 85,3 km
Počáteční poloha: 57,001N 11,280E
Konečná poloha: 57,829N 10,673E
Směr: 338,7°
Sklon: 11,8°
VstupnĂ­ rychlost: 51,6 km/s
Rektascenze radiantu: 08:04 (121,1°)
Deklinace radiantu: -20,0°
MeteorickĂ˝ roj: sporadickĂ˝
Elementy dráhy meteoroidu:
Vzdálenost v periheliu: 0,554 AU
Excentricita: 1,036
Sklon dráhy: 83,1°
Délka vzestupného uzlu: 86,2°
Argument perihelia: 81,9°
Střední anomálie: -0,6°
Epocha: 2020 DEC 18 00:04:15
orbit plot

NeinteraktivnĂ­ graf | InteraktivnĂ­ graf

position vs time
speed and acceleration