🇳🇴 🇬🇧 🇩🇪 🇨🇿 🇫🇮

Meteor Skagenin yllä 2020-12-18 00:04:15 UTC

KML-tiedosto  |  Interaktiivinen kartta

Kartta näyttää meteorin suuntahavainnot. Vaaleammat viivat näyttävät suunnat havaintoasemilta meteorin ilmestyessä, ja tummemmat viivat näyttävät, missä se viimeksi nähtiin. Sininen nuoli näyttää meteorin näkyvän lennon.

static map
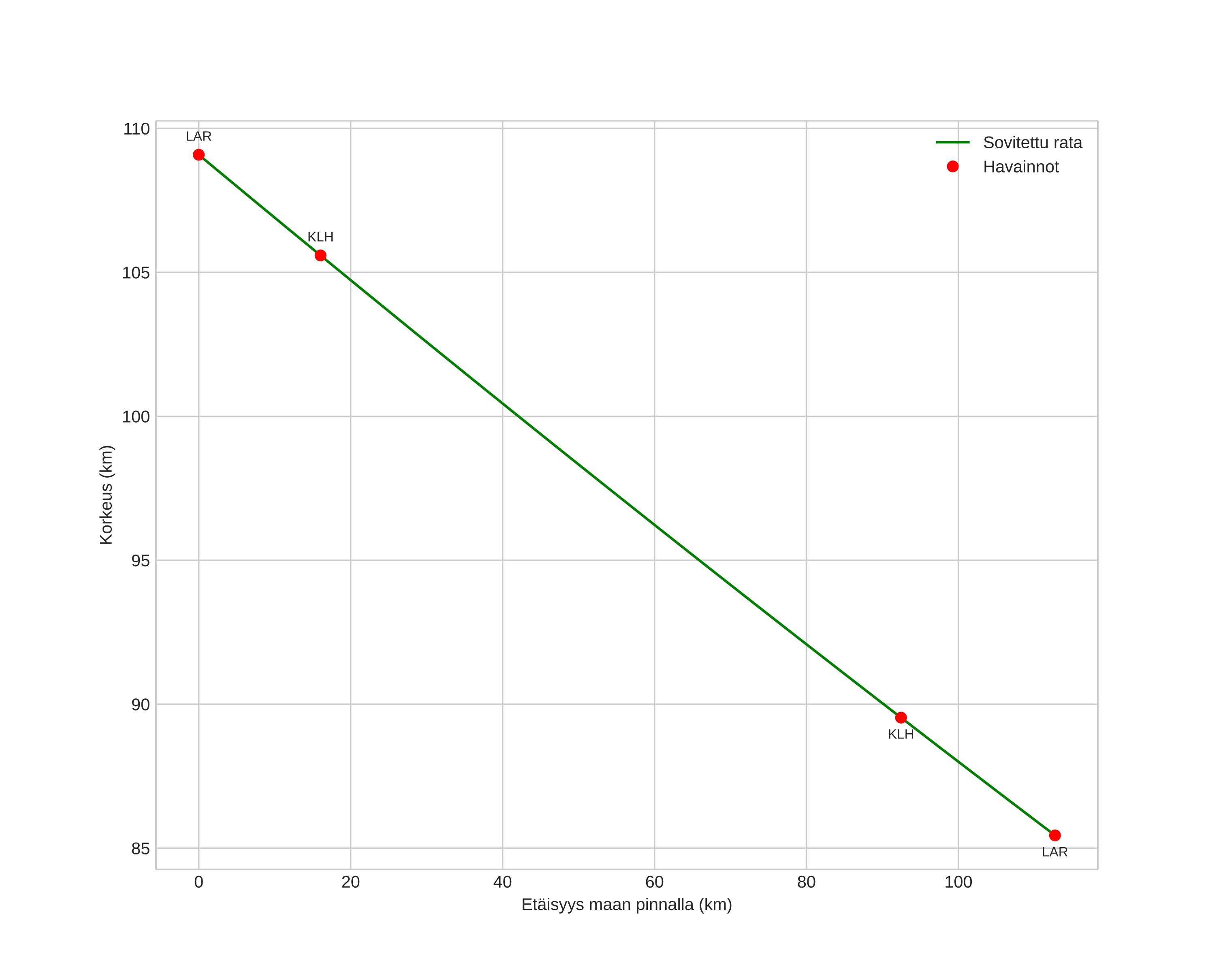
height profile
Meteorin ilmakehärata:
Alkukorkeus: 106,0 km
Loppukorkeus: 85,3 km
Alkupiste: 57,001N 11,280E
Loppupiste: 57,829N 10,673E
Suunta: 338,7°
Kallistuskulma: 11,8°
Tulonopeus: 51,6 km/s
Radiantin R,A,: 08:04 (121,1°)
Radiantin Dekl,: -20,0°
Meteoriparvi: Sporadinen
Meteoroidin rataelementit:
Perihelietäisyys: 0,554 AU
Eksentrisyys: 1,036
Inklinaatio: 83,1°
Nousevan solmun pituus: 86,2°
Perihelin argumentti: 81,9°
Keskianomalia: -0,6°
Epookki: 2020 DEC 18 00:04:15
orbit plot

Ei-interaktiivinen kuvaaja | Interaktiivinen kuvaaja

position vs time
speed and acceleration