🇳🇴 🇬🇧 🇩🇪 🇨🇿 🇫🇮

Meteor, poloha: Meieribyen 2020-12-18 00:24:00 UTC

Soubor KML  |  InteraktivnĂ­ mapa

Mapa zobrazuje dráhy meteoru. Světlejší čáry ukazují směry od pozorovacích stanic při objevení se meteoru a tmavší čáry, kde byl naposledy viděn. Modrá šipka značí viditelnou dráhu meteoru.

static map
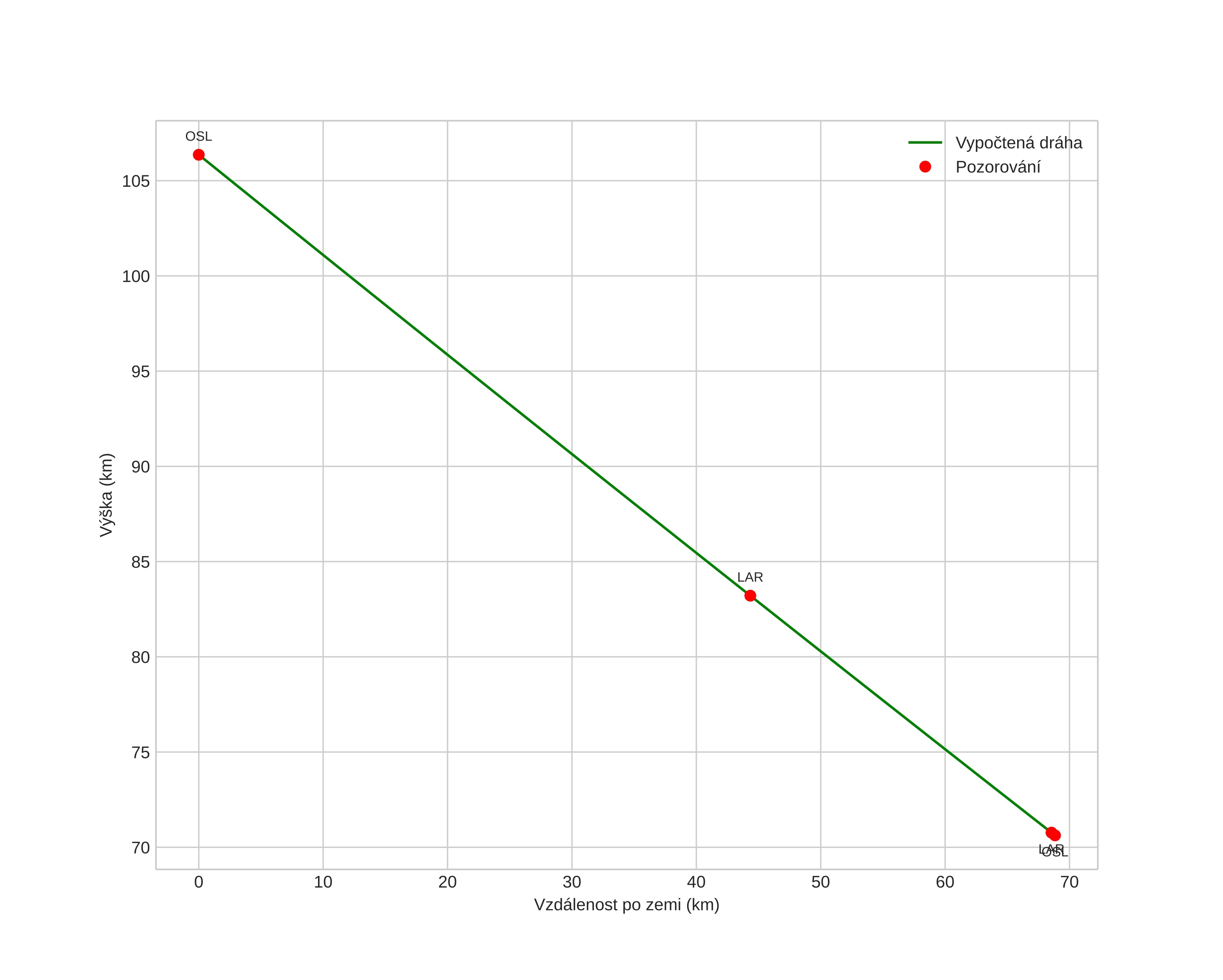
height profile
Atmosférická dráha meteoru:
Počáteční výška: 106,0 km
Konečná výška: 70,7 km
Počáteční poloha: 58,911N 11,676E
Konečná poloha: 59,426N 11,029E
Směr: 327,5°
Sklon: 27,4°
VstupnĂ­ rychlost: 56,1 km/s
Rektascenze radiantu: 08:51 (132,8°)
Deklinace radiantu: -0,2°
MeteorickĂ˝ roj: sporadickĂ˝
Elementy dráhy meteoroidu:
Vzdálenost v periheliu: 0,197 AU
Excentricita: 0,941
Sklon dráhy: 120,0°
Délka vzestupného uzlu: 86,3°
Argument perihelia: 130,6°
Střední anomálie: 354,2°
Epocha: 2020 DEC 18 00:24:00
orbit plot

NeinteraktivnĂ­ graf | InteraktivnĂ­ graf

position vs time
speed and acceleration