🇳🇴 🇬🇧 🇩🇪 🇨🇿 🇫🇮

Meteor Meieribyenin yllä 2020-12-18 00:24:00 UTC

KML-tiedosto  |  Interaktiivinen kartta

Kartta näyttää meteorin suuntahavainnot. Vaaleammat viivat näyttävät suunnat havaintoasemilta meteorin ilmestyessä, ja tummemmat viivat näyttävät, missä se viimeksi nähtiin. Sininen nuoli näyttää meteorin näkyvän lennon.

static map
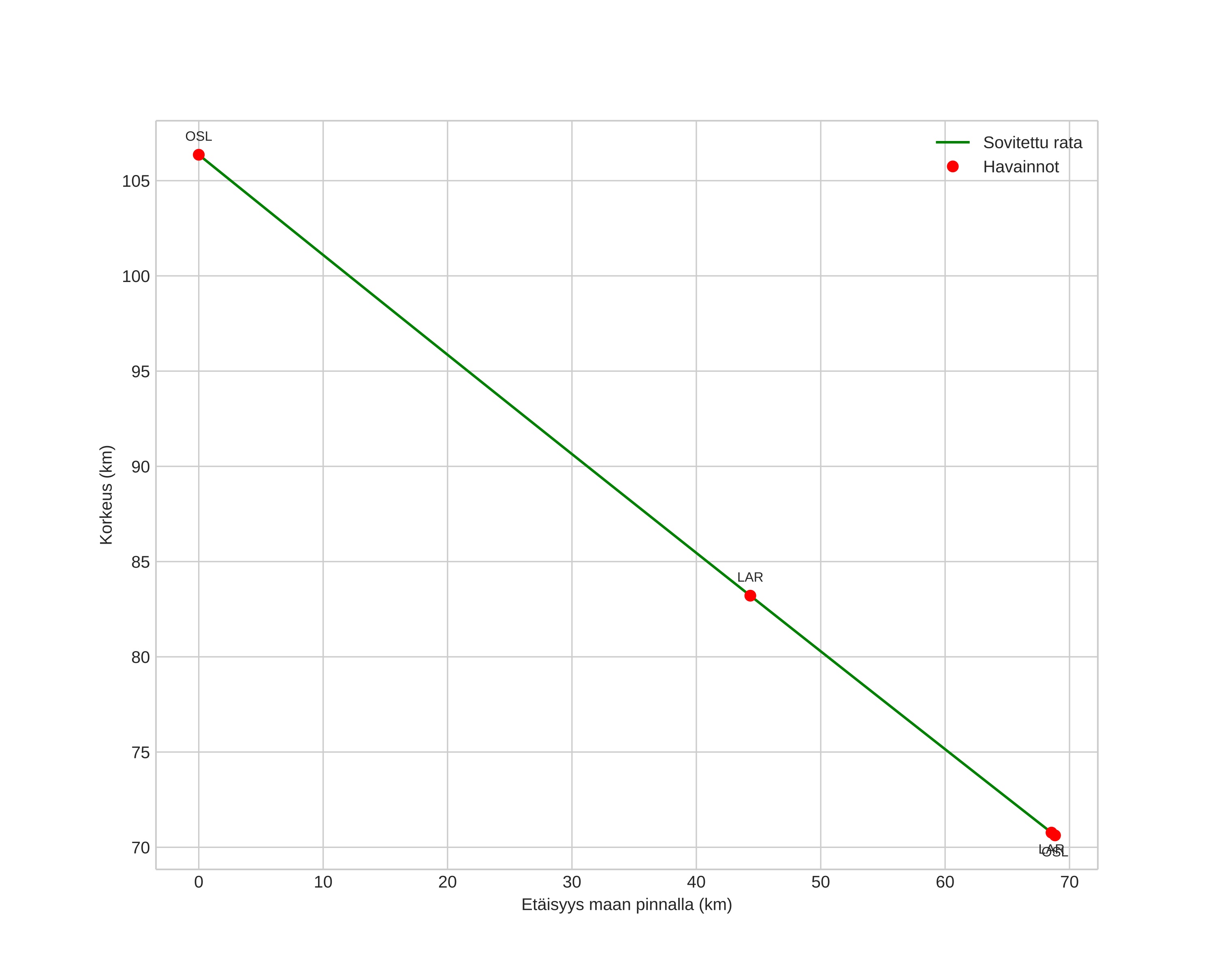
height profile
Meteorin ilmakehärata:
Alkukorkeus: 106,0 km
Loppukorkeus: 70,7 km
Alkupiste: 58,911N 11,676E
Loppupiste: 59,426N 11,029E
Suunta: 327,5°
Kallistuskulma: 27,4°
Tulonopeus: 56,1 km/s
Radiantin R,A,: 08:51 (132,8°)
Radiantin Dekl,: -0,2°
Meteoriparvi: Sporadinen
Meteoroidin rataelementit:
Perihelietäisyys: 0,197 AU
Eksentrisyys: 0,941
Inklinaatio: 120,0°
Nousevan solmun pituus: 86,3°
Perihelin argumentti: 130,6°
Keskianomalia: 354,2°
Epookki: 2020 DEC 18 00:24:00
orbit plot

Ei-interaktiivinen kuvaaja | Interaktiivinen kuvaaja

position vs time
speed and acceleration