🇳🇴 🇬🇧 🇩🇪 🇨🇿 🇫🇮

Meteor, poloha: Kiruna 2020-12-18 23:49:07 UTC

Soubor KML  |  InteraktivnĂ­ mapa

Mapa zobrazuje dráhy meteoru. Světlejší čáry ukazují směry od pozorovacích stanic při objevení se meteoru a tmavší čáry, kde byl naposledy viděn. Modrá šipka značí viditelnou dráhu meteoru.

static map
height profile
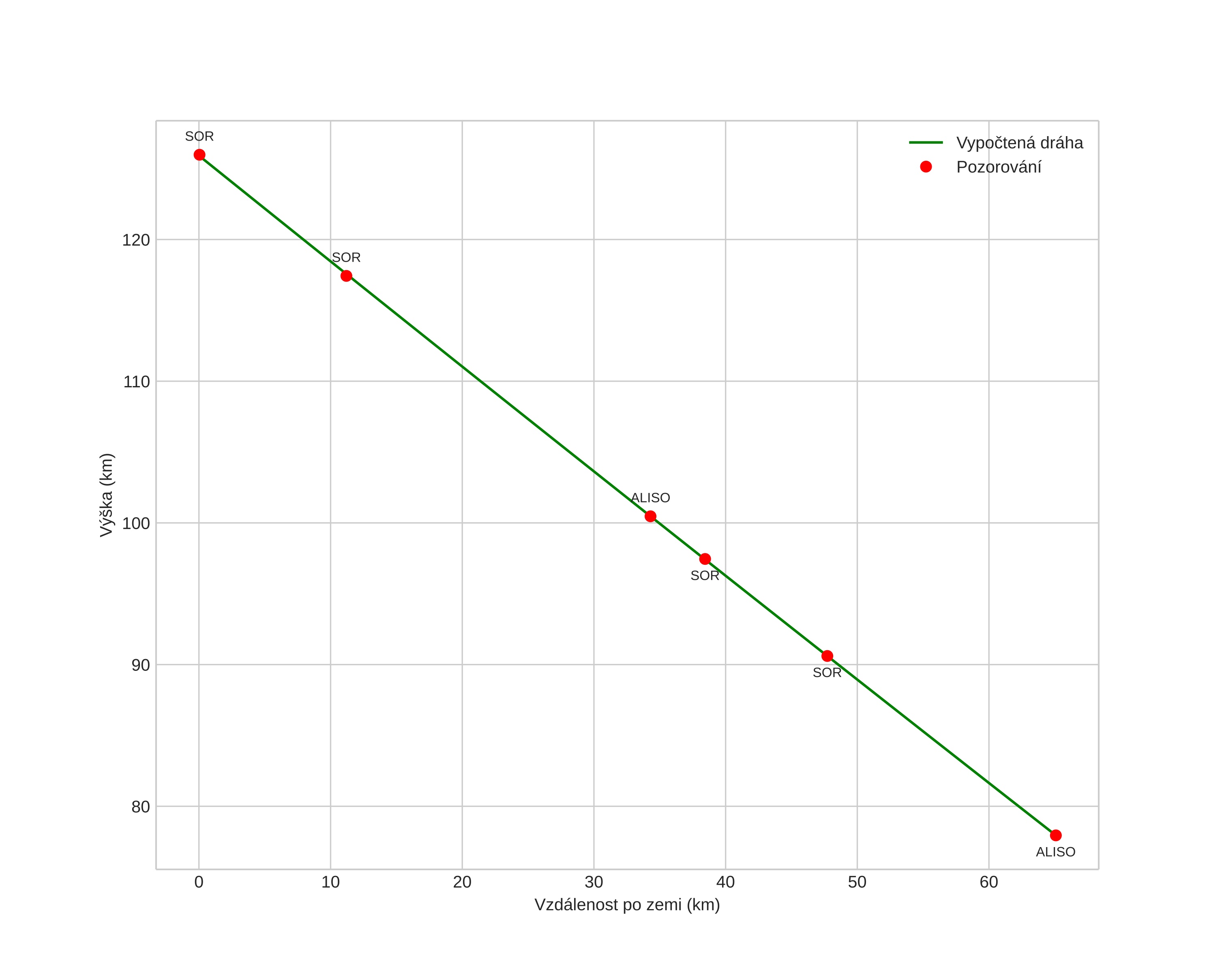
Atmosférická dráha meteoru:
Počáteční výška: 129,7 km
Konečná výška: 78,0 km
Počáteční poloha: 67,927N 22,367E
Konečná poloha: 67,805N 20,728E
Směr: 259,5°
Sklon: 36,5°
VstupnĂ­ rychlost: 77,8 km/s
Rektascenze radiantu: 12:44 (191,1°)
Deklinace radiantu: 37,2°
MeteorickĂ˝ roj: sporadickĂ˝
Elementy dráhy meteoroidu:
Vzdálenost v periheliu: 0,979 AU
Excentricita: 2,503
Sklon dráhy: 122,5°
Délka vzestupného uzlu: 267,2°
Argument perihelia: 187,0°
Střední anomálie: -6,9°
Epocha: 2020 DEC 18 23:49:07
orbit plot

NeinteraktivnĂ­ graf | InteraktivnĂ­ graf

position vs time
speed and acceleration