🇳🇴 🇬🇧 🇩🇪 🇨🇿 🇫🇮

Meteor Kirunan yllä 2020-12-18 23:49:07 UTC

KML-tiedosto  |  Interaktiivinen kartta

Kartta näyttää meteorin suuntahavainnot. Vaaleammat viivat näyttävät suunnat havaintoasemilta meteorin ilmestyessä, ja tummemmat viivat näyttävät, missä se viimeksi nähtiin. Sininen nuoli näyttää meteorin näkyvän lennon.

static map
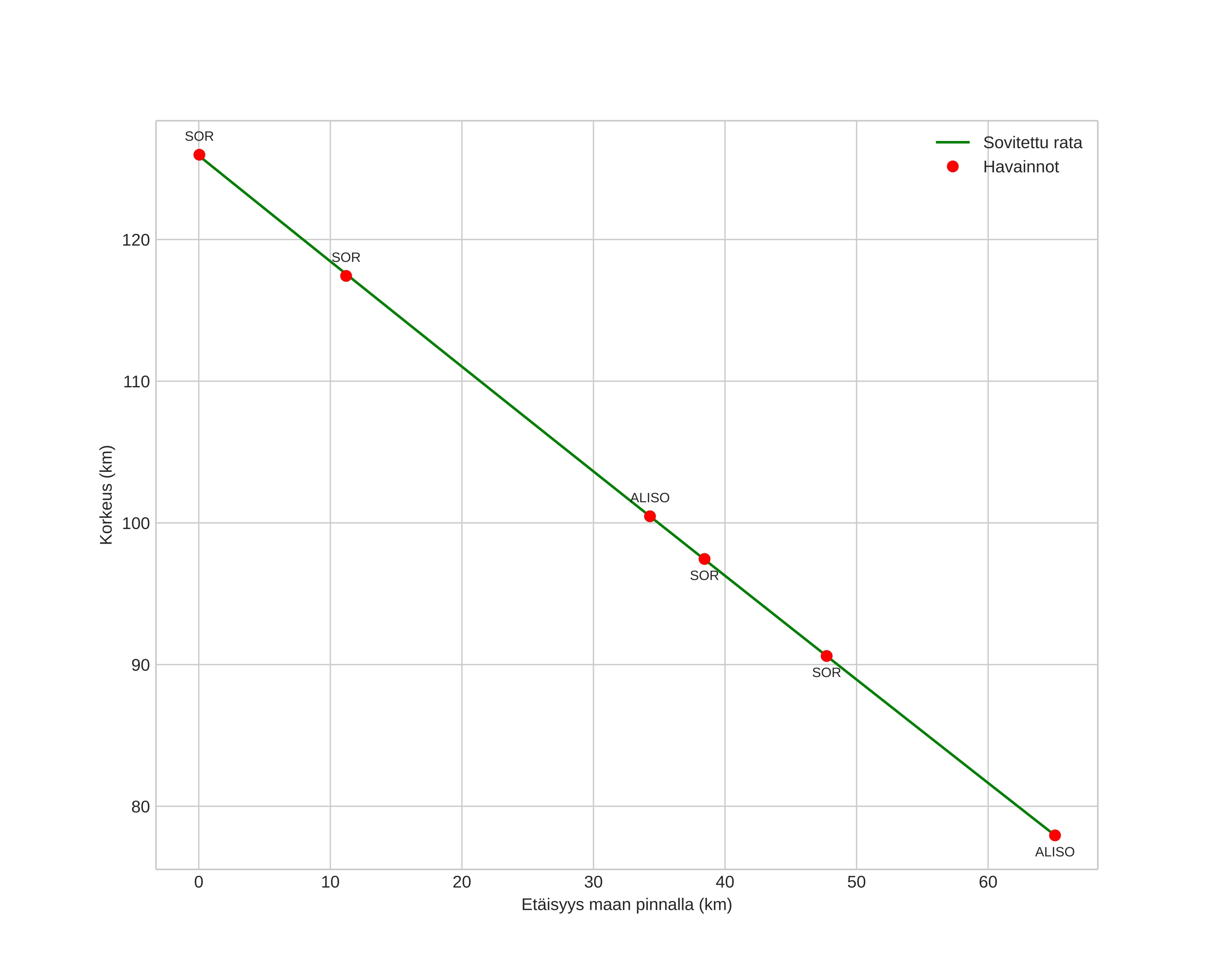
height profile
Meteorin ilmakehärata:
Alkukorkeus: 129,7 km
Loppukorkeus: 78,0 km
Alkupiste: 67,927N 22,367E
Loppupiste: 67,805N 20,728E
Suunta: 259,5°
Kallistuskulma: 36,5°
Tulonopeus: 77,8 km/s
Radiantin R,A,: 12:44 (191,1°)
Radiantin Dekl,: 37,2°
Meteoriparvi: Sporadinen
Meteoroidin rataelementit:
Perihelietäisyys: 0,979 AU
Eksentrisyys: 2,503
Inklinaatio: 122,5°
Nousevan solmun pituus: 267,2°
Perihelin argumentti: 187,0°
Keskianomalia: -6,9°
Epookki: 2020 DEC 18 23:49:07
orbit plot

Ei-interaktiivinen kuvaaja | Interaktiivinen kuvaaja

position vs time
speed and acceleration