🇳🇴 🇬🇧 🇩🇪 🇨🇿 🇫🇮

Meteor, poloha: Løding 2020-12-19 01:16:03 UTC

Soubor KML  |  InteraktivnĂ­ mapa

Mapa zobrazuje dráhy meteoru. Světlejší čáry ukazují směry od pozorovacích stanic při objevení se meteoru a tmavší čáry, kde byl naposledy viděn. Modrá šipka značí viditelnou dráhu meteoru.

static map
height profile
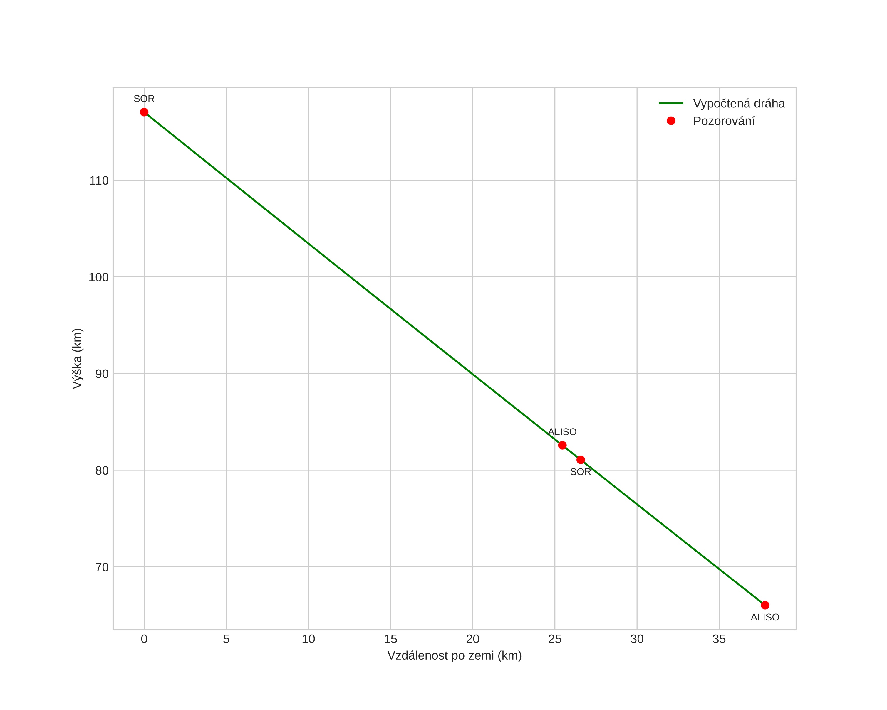
Atmosférická dráha meteoru:
Počáteční výška: 117,1 km
Konečná výška: 66,1 km
Počáteční poloha: 67,159N 15,197E
Konečná poloha: 67,482N 14,920E
Směr: 341,8°
Sklon: 53,4°
VstupnĂ­ rychlost: 81,6 km/s
Rektascenze radiantu: 08:57 (134,4°)
Deklinace radiantu: 31,2°
MeteorickĂ˝ roj: sporadickĂ˝
Elementy dráhy meteoroidu:
Vzdálenost v periheliu: 0,301 AU
Excentricita: 1,869
Sklon dráhy: 138,2°
Délka vzestupného uzlu: 267,3°
Argument perihelia: 273,8°
Střední anomálie: -115,3°
Epocha: 2020 DEC 19 01:16:03
orbit plot

NeinteraktivnĂ­ graf | InteraktivnĂ­ graf

position vs time
speed and acceleration