🇳🇴 🇬🇧 🇩🇪 🇨🇿 🇫🇮

Meteor Lødingin yllä 2020-12-19 01:16:03 UTC

KML-tiedosto  |  Interaktiivinen kartta

Kartta näyttää meteorin suuntahavainnot. Vaaleammat viivat näyttävät suunnat havaintoasemilta meteorin ilmestyessä, ja tummemmat viivat näyttävät, missä se viimeksi nähtiin. Sininen nuoli näyttää meteorin näkyvän lennon.

static map
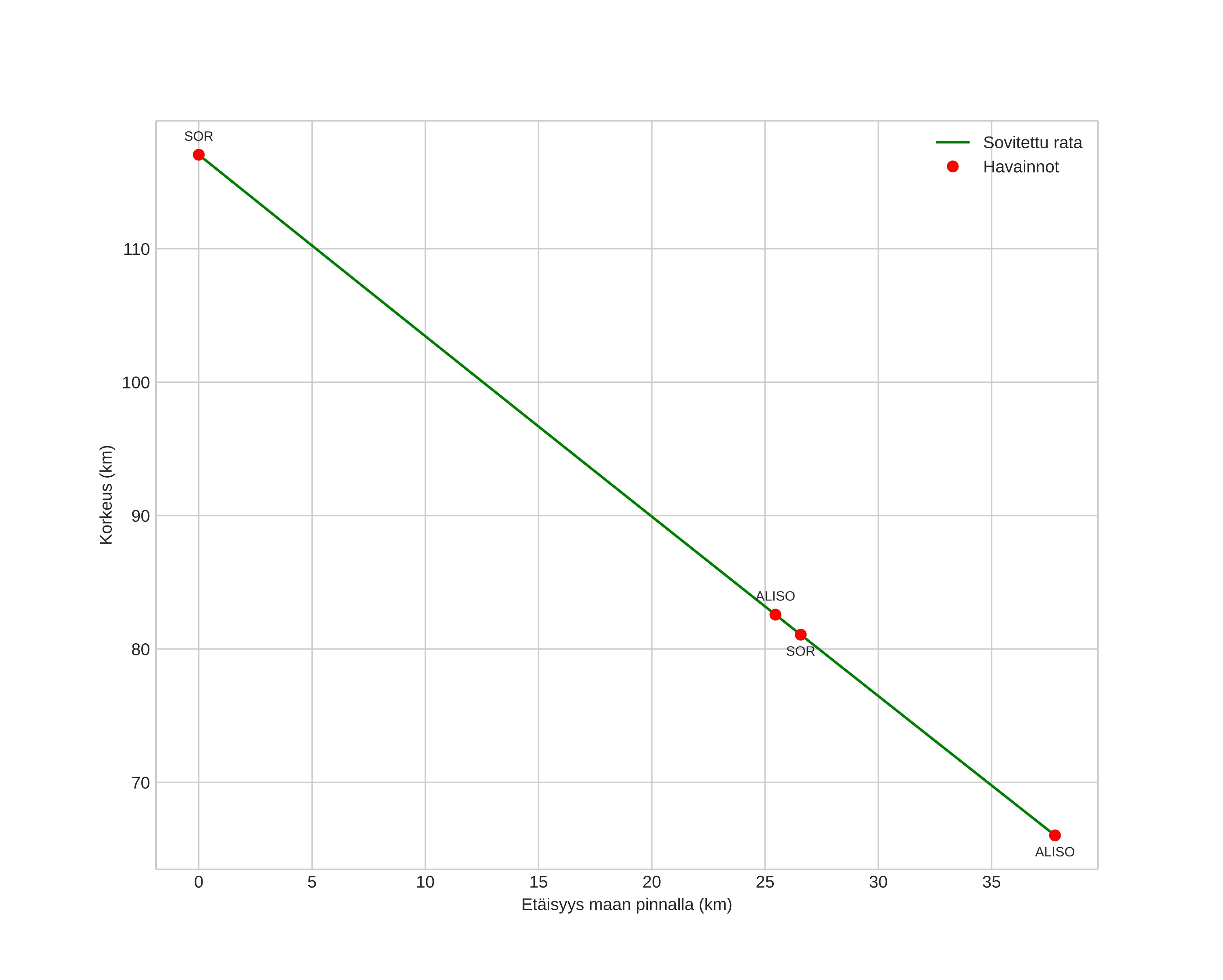
height profile
Meteorin ilmakehärata:
Alkukorkeus: 117,1 km
Loppukorkeus: 66,1 km
Alkupiste: 67,159N 15,197E
Loppupiste: 67,482N 14,920E
Suunta: 341,8°
Kallistuskulma: 53,4°
Tulonopeus: 81,6 km/s
Radiantin R,A,: 08:57 (134,4°)
Radiantin Dekl,: 31,2°
Meteoriparvi: Sporadinen
Meteoroidin rataelementit:
Perihelietäisyys: 0,301 AU
Eksentrisyys: 1,869
Inklinaatio: 138,2°
Nousevan solmun pituus: 267,3°
Perihelin argumentti: 273,8°
Keskianomalia: -115,3°
Epookki: 2020 DEC 19 01:16:03
orbit plot

Ei-interaktiivinen kuvaaja | Interaktiivinen kuvaaja

position vs time
speed and acceleration