🇳🇴 🇬🇧 🇩🇪 🇨🇿 🇫🇮

Meteor, poloha: Storslett 2020-12-22 02:06:06 UTC

Soubor KML  |  InteraktivnĂ­ mapa

Mapa zobrazuje dráhy meteoru. Světlejší čáry ukazují směry od pozorovacích stanic při objevení se meteoru a tmavší čáry, kde byl naposledy viděn. Modrá šipka značí viditelnou dráhu meteoru.

static map
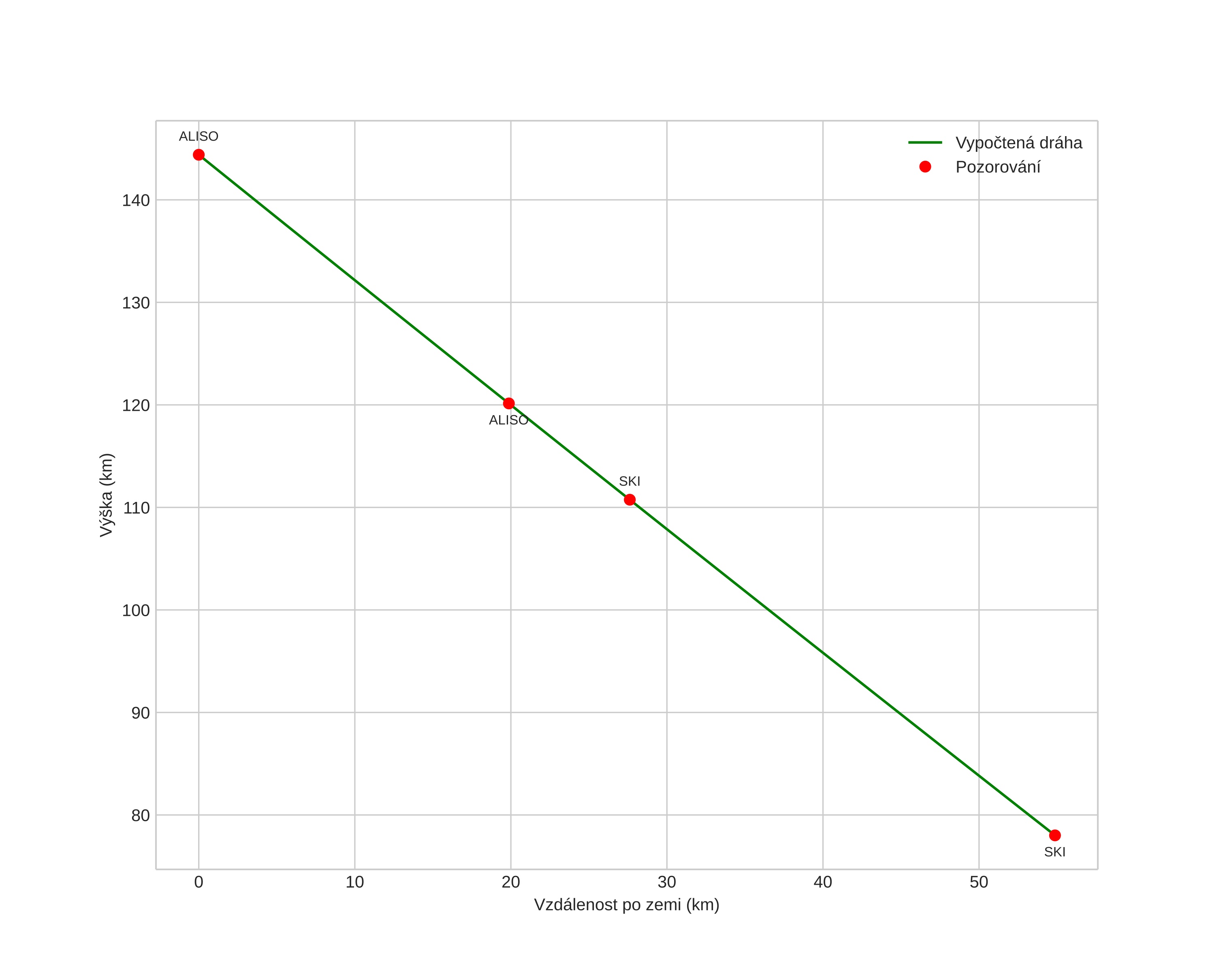
height profile
Atmosférická dráha meteoru:
Počáteční výška: 143,9 km
Konečná výška: 79,0 km
Počáteční poloha: 68,431N 22,256E
Konečná poloha: 68,871N 21,683E
Směr: 334,9°
Sklon: 50,1°
VstupnĂ­ rychlost: 59,6 km/s
Rektascenze radiantu: 10:50 (162,7°)
Deklinace radiantu: 29,7°
MeteorickĂ˝ roj: desember-leonis-minoridene
Elementy dráhy meteoroidu:
Vzdálenost v periheliu: 0,454 AU
Excentricita: 0,804
Sklon dráhy: 131,2°
Délka vzestupného uzlu: 270,4°
Argument perihelia: 282,0°
Střední anomálie: 347,9°
Epocha: 2020 DEC 22 02:06:06
orbit plot

NeinteraktivnĂ­ graf | InteraktivnĂ­ graf

position vs time
speed and acceleration