🇳🇴 🇬🇧 🇩🇪 🇨🇿 🇫🇮

Meteor Storslettin yllä 2020-12-22 02:06:06 UTC

KML-tiedosto  |  Interaktiivinen kartta

Kartta näyttää meteorin suuntahavainnot. Vaaleammat viivat näyttävät suunnat havaintoasemilta meteorin ilmestyessä, ja tummemmat viivat näyttävät, missä se viimeksi nähtiin. Sininen nuoli näyttää meteorin näkyvän lennon.

static map
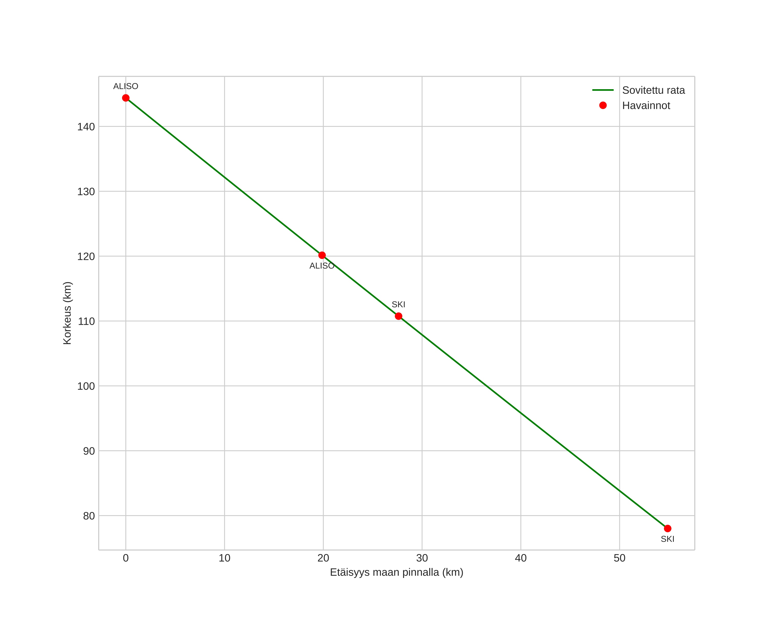
height profile
Meteorin ilmakehärata:
Alkukorkeus: 143,9 km
Loppukorkeus: 79,0 km
Alkupiste: 68,431N 22,256E
Loppupiste: 68,871N 21,683E
Suunta: 334,9°
Kallistuskulma: 50,1°
Tulonopeus: 59,6 km/s
Radiantin R,A,: 10:50 (162,7°)
Radiantin Dekl,: 29,7°
Meteoriparvi: desember-leonis-minoridene
Meteoroidin rataelementit:
Perihelietäisyys: 0,454 AU
Eksentrisyys: 0,804
Inklinaatio: 131,2°
Nousevan solmun pituus: 270,4°
Perihelin argumentti: 282,0°
Keskianomalia: 347,9°
Epookki: 2020 DEC 22 02:06:06
orbit plot

Ei-interaktiivinen kuvaaja | Interaktiivinen kuvaaja

position vs time
speed and acceleration