🇳🇴 🇬🇧 🇩🇪 🇨🇿 🇫🇮

Meteor, poloha: Kautokeino 2020-12-22 02:20:36 UTC

Soubor KML  |  InteraktivnĂ­ mapa

Mapa zobrazuje dráhy meteoru. Světlejší čáry ukazují směry od pozorovacích stanic při objevení se meteoru a tmavší čáry, kde byl naposledy viděn. Modrá šipka značí viditelnou dráhu meteoru.

static map
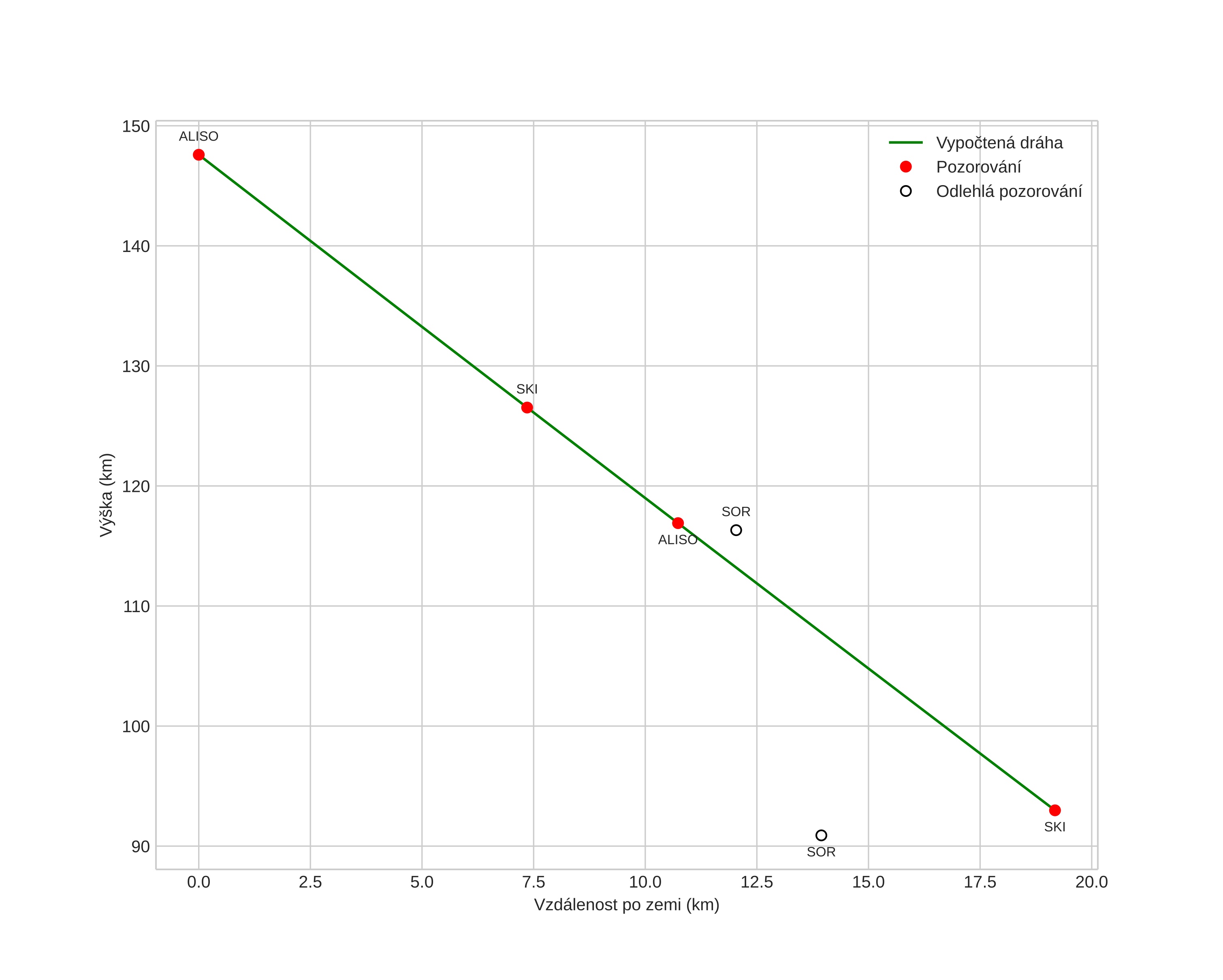
height profile
Atmosférická dráha meteoru:
Počáteční výška: 147,6 km
Konečná výška: 92,8 km
Počáteční poloha: 68,167N 23,145E
Konečná poloha: 68,147N 22,680E
Směr: 263,7°
Sklon: 70,6°
VstupnĂ­ rychlost: 54,2 km/s
Rektascenze radiantu: 13:00 (195,2°)
Deklinace radiantu: 62,8°
MeteorickĂ˝ roj: sporadickĂ˝
Elementy dráhy meteoroidu:
Vzdálenost v periheliu: 0,923 AU
Excentricita: 1,531
Sklon dráhy: 81,3°
Délka vzestupného uzlu: 270,4°
Argument perihelia: 206,2°
Střední anomálie: -6,6°
Epocha: 2020 DEC 22 02:20:36
orbit plot

NeinteraktivnĂ­ graf | InteraktivnĂ­ graf

position vs time
speed and acceleration