🇳🇴 🇬🇧 🇩🇪 🇨🇿 🇫🇮

Meteor Kautokeinon yllä 2020-12-22 02:20:36 UTC

KML-tiedosto  |  Interaktiivinen kartta

Kartta näyttää meteorin suuntahavainnot. Vaaleammat viivat näyttävät suunnat havaintoasemilta meteorin ilmestyessä, ja tummemmat viivat näyttävät, missä se viimeksi nähtiin. Sininen nuoli näyttää meteorin näkyvän lennon.

static map
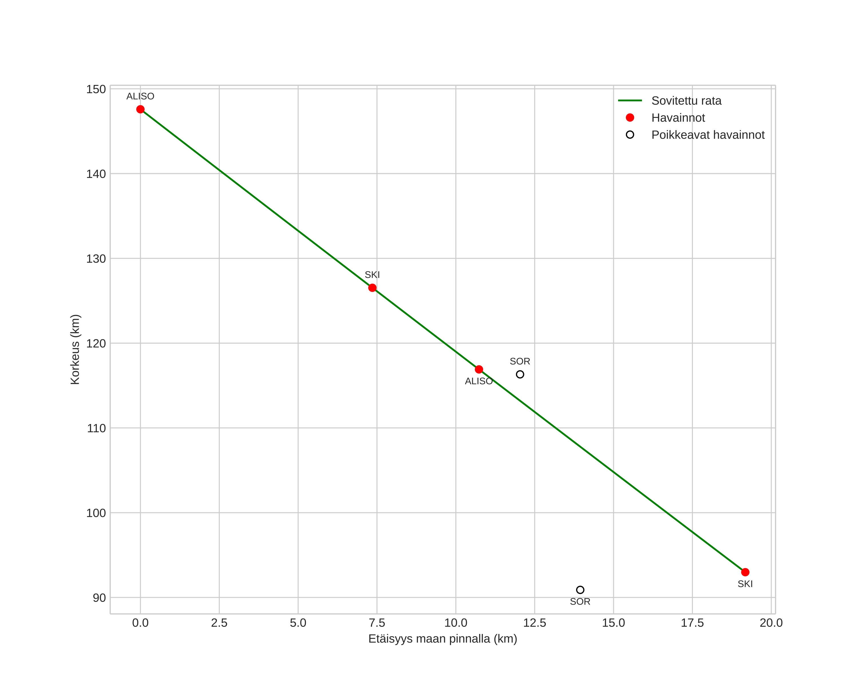
height profile
Meteorin ilmakehärata:
Alkukorkeus: 147,6 km
Loppukorkeus: 92,8 km
Alkupiste: 68,167N 23,145E
Loppupiste: 68,147N 22,680E
Suunta: 263,7°
Kallistuskulma: 70,6°
Tulonopeus: 54,2 km/s
Radiantin R,A,: 13:00 (195,2°)
Radiantin Dekl,: 62,8°
Meteoriparvi: Sporadinen
Meteoroidin rataelementit:
Perihelietäisyys: 0,923 AU
Eksentrisyys: 1,531
Inklinaatio: 81,3°
Nousevan solmun pituus: 270,4°
Perihelin argumentti: 206,2°
Keskianomalia: -6,6°
Epookki: 2020 DEC 22 02:20:36
orbit plot

Ei-interaktiivinen kuvaaja | Interaktiivinen kuvaaja

position vs time
speed and acceleration