🇳🇴 🇬🇧 🇩🇪 🇨🇿 🇫🇮

Meteor, poloha: Burfjord 2020-12-22 04:18:09 UTC

Soubor KML  |  InteraktivnĂ­ mapa

Mapa zobrazuje dráhy meteoru. Světlejší čáry ukazují směry od pozorovacích stanic při objevení se meteoru a tmavší čáry, kde byl naposledy viděn. Modrá šipka značí viditelnou dráhu meteoru.

static map
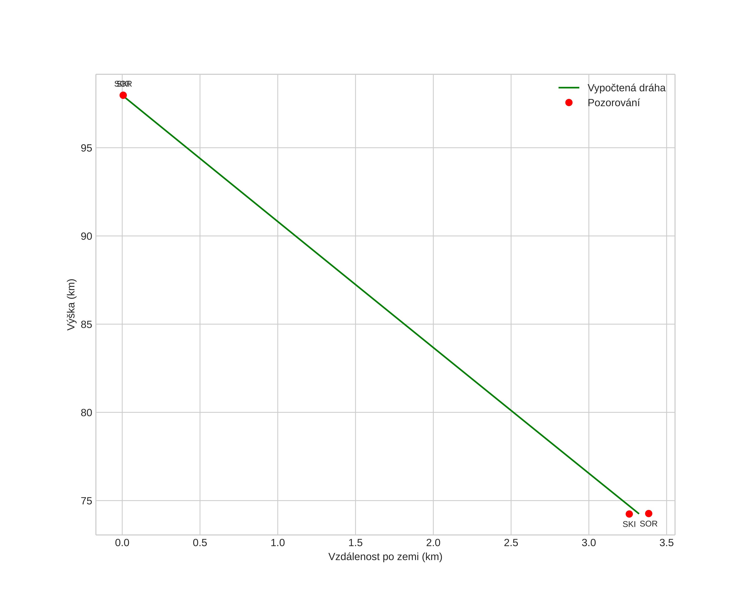
height profile
Atmosférická dráha meteoru:
Počáteční výška: 98,1 km
Konečná výška: 51,9 km
Počáteční poloha: 69,677N 22,988E
Konečná poloha: 69,571N 22,254E
Směr: 247,8°
Sklon: 56,3°
VstupnĂ­ rychlost: 60,1 km/s
Rektascenze radiantu: 17:13 (258,5°)
Deklinace radiantu: 58,5°
MeteorickĂ˝ roj: sporadickĂ˝
Elementy dráhy meteoroidu:
Vzdálenost v periheliu: 0,975 AU
Excentricita: 3,436
Sklon dráhy: 67,5°
Délka vzestupného uzlu: 270,5°
Argument perihelia: 171,2°
Střední anomálie: 16,1°
Epocha: 2020 DEC 22 04:18:09
orbit plot

NeinteraktivnĂ­ graf | InteraktivnĂ­ graf

position vs time
speed and acceleration